Application for Certified Copy of a Military Discharge Record (DD-214) - Sacramento County, California

Application for Certified Copy of a Military Discharge Record (DD-214) - Sacramento County, California

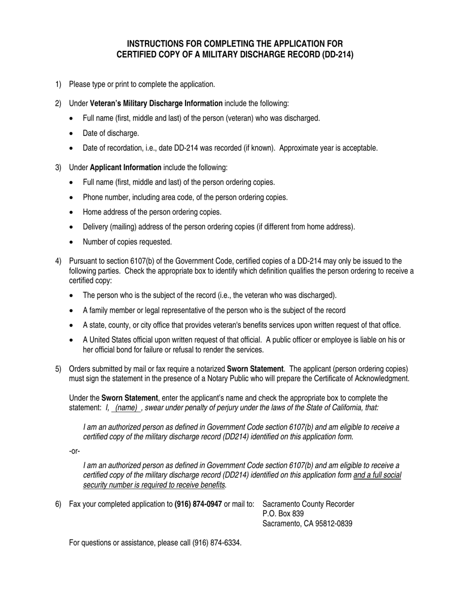
Application for Certified Copy of a Military Discharge Record (DD-214) is a legal document that was released by the County Clerk/Recorder's Office - Sacramento County, California - a government authority operating within California. The form may be used strictly within Sacramento County.

FAQ

Q: What is a Military Discharge Record (DD-214)?
A: A Military Discharge Record (DD-214) is an official document issued by the U.S. Department of Defense that summarizes a veteran's military service.

Q: Why would I need a Certified Copy of my Military Discharge Record?
A: A Certified Copy of your Military Discharge Record (DD-214) is often required to access certain benefits and services offered to veterans, such as funeral honors, healthcare benefits, and educational assistance.

Q: What documents do I need to provide?
A: You will need to provide a valid form of identification, such as a driver's license or passport, along with any additional documentation required by the Sacramento County Clerk/Recorder's Office.

Q: Is there a fee to obtain a Certified Copy of my Military Discharge Record?
A: Yes, there is a fee to obtain a Certified Copy of your Military Discharge Record. The fee may vary depending on the county and the number of copies requested. It is best to check with the Sacramento County Clerk/Recorder's Office for the current fee.

Q: How long does it take to receive a Certified Copy of my Military Discharge Record?
A: The processing time may vary, but it typically takes a few weeks to receive a Certified Copy of your Military Discharge Record. It is recommended to contact the Sacramento County Clerk/Recorder's Office for an estimated timeframe.

Q: Can someone else apply for a Certified Copy of my Military Discharge Record on my behalf?
A: Yes, someone else can apply for a Certified Copy of your Military Discharge Record on your behalf, but they will need to provide a notarized authorization letter from you along with their own identification.

Q: What if I need to request my Military Discharge Record from a different state or county?
A: If you need to request your Military Discharge Record from a different state or county, you will need to contact the appropriate county or state office where your discharge was recorded for instructions on how to obtain a Certified Copy.

ADVERTISEMENT

Form Details:

  • Released on January 1, 2017;
  • The latest edition currently provided by the County Clerk/Recorder's Office - Sacramento County, California;
  • Ready to use and print;
  • Easy to customize;
  • Compatible with most PDF-viewing applications;
  • Fill out the form in our online filing application.

Download a fillable version of the form by clicking the link below or browse more documents and templates provided by the County Clerk/Recorder's Office - Sacramento County, California.

Download Application for Certified Copy of a Military Discharge Record (DD-214) - Sacramento County, California

4.4 of 5 (20 votes)
  • Application for Certified Copy of a Military Discharge Record (DD-214) - Sacramento County, California

    1

  • Application for Certified Copy of a Military Discharge Record (DD-214) - Sacramento County, California, Page 2

    2

  • Application for Certified Copy of a Military Discharge Record (DD-214) - Sacramento County, California, Page 1
  • Application for Certified Copy of a Military Discharge Record (DD-214) - Sacramento County, California, Page 2
Prev 1 2 Next
ADVERTISEMENT

Related Documents