Form JC-E-663 Application for Court-Appointed Juvenile Justice Expert Panel - County of Sacramento, California

Form JC-E-663 Application for Court-Appointed Juvenile Justice Expert Panel - County of Sacramento, California

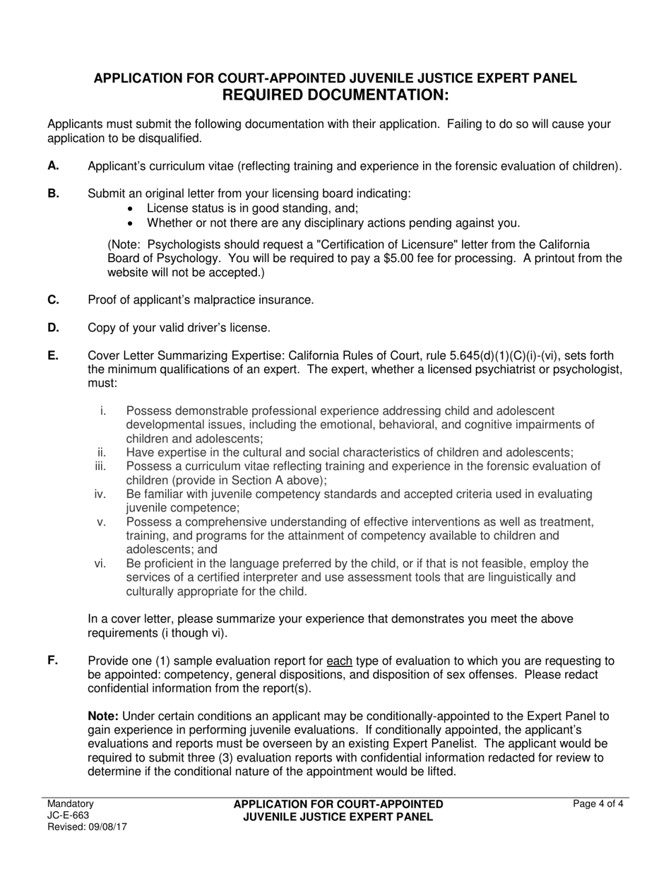
What Is Form JC-E-663?

This is a legal form that was released by the Superior Court - County of Sacramento, California - a government authority operating within California. The form may be used strictly within County of Sacramento. As of today, no separate filing guidelines for the form are provided by the issuing department.

FAQ

Q: What is JC-E-663?
A: JC-E-663 is an application form for the Court-Appointed Juvenile Justice Expert Panel in Sacramento County, California.

Q: What is the purpose of the Court-Appointed Juvenile Justice Expert Panel?
A: The purpose of the panel is to provide expert advice and recommendations to the court in juvenile justice cases.

Q: Who can apply for the Court-Appointed Juvenile Justice Expert Panel?
A: Qualified professionals with expertise in juvenile justice can apply for the panel.

Q: Is the application form specific to Sacramento County, California?
A: Yes, the JC-E-663 application form is specific to Sacramento County, California.

Q: What information do I need to provide in the application form?
A: You will need to provide your personal information, qualifications, and experience in the field of juvenile justice.

Q: Who reviews the JC-E-663 applications?
A: The applications are reviewed by the Sacramento County court staff.

Q: What happens after submitting the application?
A: After submitting the application, you may be contacted for an interview or further evaluation.

Q: Is there any fee for applying to the Court-Appointed Juvenile Justice Expert Panel?
A: No, there is no fee for applying to the panel.

Q: Can I apply for the panel if I don't live in Sacramento County?
A: The application is open to qualified professionals regardless of their place of residence, but preference may be given to those residing in Sacramento County.

ADVERTISEMENT

Form Details:

  • Released on September 8, 2017;
  • The latest edition provided by the Superior Court - County of Sacramento, California;
  • Easy to use and ready to print;
  • Quick to customize;
  • Compatible with most PDF-viewing applications;
  • Fill out the form in our online filing application.

Download a fillable version of Form JC-E-663 by clicking the link below or browse more documents and templates provided by the Superior Court - County of Sacramento, California.

Download Form JC-E-663 Application for Court-Appointed Juvenile Justice Expert Panel - County of Sacramento, California

4.3 of 5 (15 votes)
  • Form JC-E-663 Application for Court-Appointed Juvenile Justice Expert Panel - County of Sacramento, California

    1

  • Form JC-E-663 Application for Court-Appointed Juvenile Justice Expert Panel - County of Sacramento, California, Page 2

    2

  • Form JC-E-663 Application for Court-Appointed Juvenile Justice Expert Panel - County of Sacramento, California, Page 3

    3

  • Form JC-E-663 Application for Court-Appointed Juvenile Justice Expert Panel - County of Sacramento, California, Page 4

    4

  • Form JC-E-663 Application for Court-Appointed Juvenile Justice Expert Panel - County of Sacramento, California, Page 5

    5

  • Form JC-E-663 Application for Court-Appointed Juvenile Justice Expert Panel - County of Sacramento, California, Page 1
  • Form JC-E-663 Application for Court-Appointed Juvenile Justice Expert Panel - County of Sacramento, California, Page 2
  • Form JC-E-663 Application for Court-Appointed Juvenile Justice Expert Panel - County of Sacramento, California, Page 3
  • Form JC-E-663 Application for Court-Appointed Juvenile Justice Expert Panel - County of Sacramento, California, Page 4
  • Form JC-E-663 Application for Court-Appointed Juvenile Justice Expert Panel - County of Sacramento, California, Page 5
Prev 1 2 3 4 5 Next
ADVERTISEMENT

Related Documents