Form FL-002 Statement of Issues for Settlement Conference or Trial - County of Sonoma, California

Form FL-002 Statement of Issues for Settlement Conference or Trial - County of Sonoma, California

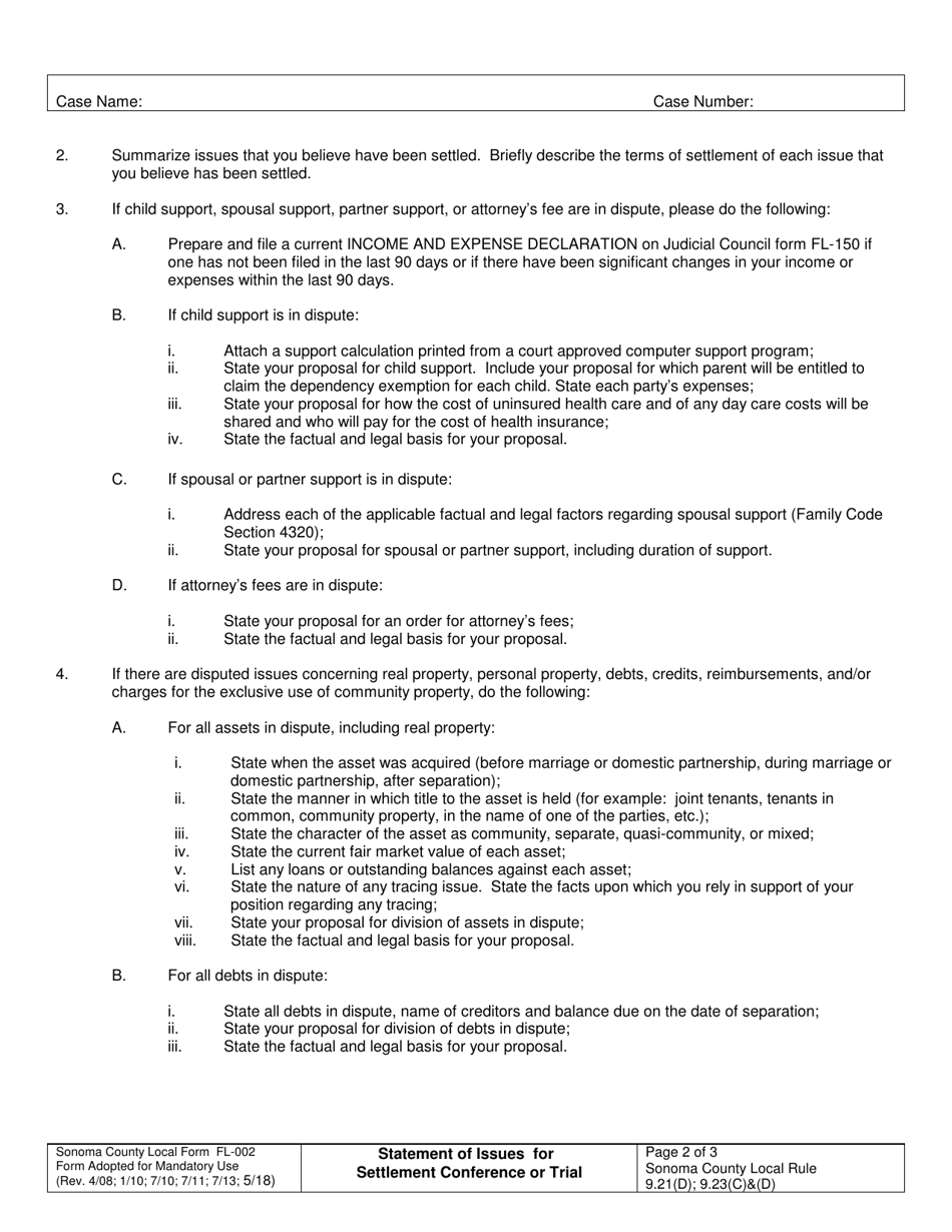
What Is Form FL-002?

This is a legal form that was released by the Superior Court - County of Sonoma, California - a government authority operating within California. The form may be used strictly within County of Sonoma. As of today, no separate filing guidelines for the form are provided by the issuing department.

FAQ

Q: What is Form FL-002?
A: Form FL-002 is a document used for submitting a statement of issues for a settlement conference or trial in the County of Sonoma, California.

Q: What is the purpose of Form FL-002?
A: The purpose of Form FL-002 is to provide a concise summary of the issues in a family law case that will be discussed during a settlement conference or trial.

Q: Who uses Form FL-002?
A: Form FL-002 is used by parties involved in a family law case in the County of Sonoma, California.

Q: Is Form FL-002 mandatory?
A: The use of Form FL-002 may be mandatory in certain cases, depending on the local court rules. It is important to consult with an attorney or check the court's requirements to determine if it is required.

ADVERTISEMENT

Form Details:

  • Released on May 1, 2018;
  • The latest edition provided by the Superior Court - County of Sonoma, California;
  • Easy to use and ready to print;
  • Quick to customize;
  • Compatible with most PDF-viewing applications;
  • Fill out the form in our online filing application.

Download a fillable version of Form FL-002 by clicking the link below or browse more documents and templates provided by the Superior Court - County of Sonoma, California.

Download Form FL-002 Statement of Issues for Settlement Conference or Trial - County of Sonoma, California

4.6 of 5 (19 votes)
  • Form FL-002 Statement of Issues for Settlement Conference or Trial - County of Sonoma, California

    1

  • Form FL-002 Statement of Issues for Settlement Conference or Trial - County of Sonoma, California, Page 2

    2

  • Form FL-002 Statement of Issues for Settlement Conference or Trial - County of Sonoma, California, Page 3

    3

  • Form FL-002 Statement of Issues for Settlement Conference or Trial - County of Sonoma, California, Page 1
  • Form FL-002 Statement of Issues for Settlement Conference or Trial - County of Sonoma, California, Page 2
  • Form FL-002 Statement of Issues for Settlement Conference or Trial - County of Sonoma, California, Page 3
Prev 1 2 3 Next
ADVERTISEMENT

Related Documents