Ust Construction Permit Application - Underground Storage Tank (Ust) Program - City of Austin, Texas

Ust Construction Permit Application - Underground Storage Tank (Ust) Program - City of Austin, Texas

Ust Underground Storage Tank (Ust) Program is a legal document that was released by the Development Services Department - City of Austin, Texas - a government authority operating within Texas. The form may be used strictly within City of Austin.

FAQ

Q: What is a UST construction permit?
A: A UST construction permit is a permit that allows the installation, modification, or removal of an underground storage tank in the City of Austin, Texas.

Q: What is the UST program?
A: The UST program is a program in the City of Austin, Texas that regulates the installation, operation, and closure of underground storage tanks.

Q: Who needs a UST construction permit?
A: Anyone who wants to install, modify, or remove an underground storage tank in the City of Austin, Texas needs a UST construction permit.

Q: How can I apply for a UST construction permit?
A: You can apply for a UST construction permit by submitting an application to the City of Austin, Texas, along with the required documents and fees.

Q: What documents are required for a UST construction permit application?
A: The documents required for a UST construction permit application may include a site plan, facility drawing, equipment specifications, and financial responsibility documentation.

Q: How much does a UST construction permit cost?
A: The cost of a UST construction permit in the City of Austin, Texas varies depending on the type and size of the underground storage tank. Please refer to the City's fee schedule for specific pricing information.

Q: What is the validity period of a UST construction permit?
A: The validity period of a UST construction permit in the City of Austin, Texas is typically one year. However, you may apply for an extension if needed.

Q: What are the consequences of operating an underground storage tank without a UST construction permit?
A: Operating an underground storage tank without a UST construction permit in the City of Austin, Texas may result in penalties, fines, and enforcement actions by the City.

Q: Can I transfer a UST construction permit to a new owner?
A: Yes, a UST construction permit can be transferred to a new owner. The new owner must submit a Transfer of Ownership form to the City of Austin, Texas.

Q: What happens if I want to remove an underground storage tank that was installed without a UST construction permit?
A: If you want to remove an underground storage tank that was installed without a UST construction permit in the City of Austin, Texas, you still need to obtain a permit and follow the proper closure procedures outlined by the UST program.

ADVERTISEMENT

Form Details:

  • Released on October 8, 2020;
  • The latest edition currently provided by the Development Services Department - City of Austin, Texas;
  • Ready to use and print;
  • Easy to customize;
  • Compatible with most PDF-viewing applications;
  • Fill out the form in our online filing application.

Download a fillable version of the form by clicking the link below or browse more documents and templates provided by the Development Services Department - City of Austin, Texas.

Download Ust Construction Permit Application - Underground Storage Tank (Ust) Program - City of Austin, Texas

4.6 of 5 (25 votes)
  • Ust Construction Permit Application - Underground Storage Tank (Ust) Program - City of Austin, Texas

    1

  • Ust Construction Permit Application - Underground Storage Tank (Ust) Program - City of Austin, Texas, Page 2

    2

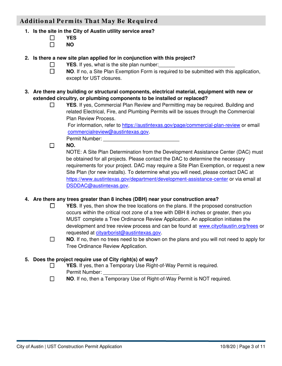
  • Ust Construction Permit Application - Underground Storage Tank (Ust) Program - City of Austin, Texas, Page 3

    3

  • Ust Construction Permit Application - Underground Storage Tank (Ust) Program - City of Austin, Texas, Page 4

    4

  • Ust Construction Permit Application - Underground Storage Tank (Ust) Program - City of Austin, Texas, Page 5

    5

  • Ust Construction Permit Application - Underground Storage Tank (Ust) Program - City of Austin, Texas, Page 6

    6

  • Ust Construction Permit Application - Underground Storage Tank (Ust) Program - City of Austin, Texas, Page 7

    7

  • Ust Construction Permit Application - Underground Storage Tank (Ust) Program - City of Austin, Texas, Page 8

    8

  • Ust Construction Permit Application - Underground Storage Tank (Ust) Program - City of Austin, Texas, Page 9

    9

  • Ust Construction Permit Application - Underground Storage Tank (Ust) Program - City of Austin, Texas, Page 10

    10

  • Ust Construction Permit Application - Underground Storage Tank (Ust) Program - City of Austin, Texas, Page 11

    11

  • Ust Construction Permit Application - Underground Storage Tank (Ust) Program - City of Austin, Texas, Page 1
  • Ust Construction Permit Application - Underground Storage Tank (Ust) Program - City of Austin, Texas, Page 2
  • Ust Construction Permit Application - Underground Storage Tank (Ust) Program - City of Austin, Texas, Page 3
  • Ust Construction Permit Application - Underground Storage Tank (Ust) Program - City of Austin, Texas, Page 4
  • Ust Construction Permit Application - Underground Storage Tank (Ust) Program - City of Austin, Texas, Page 5
  • Ust Construction Permit Application - Underground Storage Tank (Ust) Program - City of Austin, Texas, Page 6
  • Ust Construction Permit Application - Underground Storage Tank (Ust) Program - City of Austin, Texas, Page 7
  • Ust Construction Permit Application - Underground Storage Tank (Ust) Program - City of Austin, Texas, Page 8
  • Ust Construction Permit Application - Underground Storage Tank (Ust) Program - City of Austin, Texas, Page 9
  • Ust Construction Permit Application - Underground Storage Tank (Ust) Program - City of Austin, Texas, Page 10
  • Ust Construction Permit Application - Underground Storage Tank (Ust) Program - City of Austin, Texas, Page 11
Prev 1 2 3 4 5 ... 11 Next
ADVERTISEMENT

Related Documents