Form 735-265 FPP Disability Parking Family Placard Application - Oregon

Notification Icon This version of the form is not currently in use and is provided for reference only. Download this version of Form 735-265 FPP for the current year.

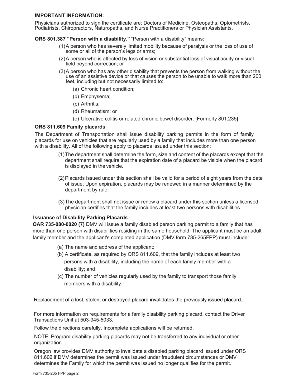
Form 735-265 FPP Disability Parking Family Placard Application - Oregon

What Is Form 735-265 FPP?

This is a legal form that was released by the Oregon Department of Transportation - Driver and Motor Vehicle Services - a government authority operating within Oregon. As of today, no separate filing guidelines for the form are provided by the issuing department.

FAQ

Q: What is form 735-265 FPP?
A: Form 735-265 FPP is the Disability Parking Family Placard Application.

Q: What is the purpose of form 735-265 FPP?
A: The purpose of form 735-265 FPP is to apply for a disability parking family placard in Oregon.

Q: Who is eligible to apply for a disability parking family placard?
A: Individuals who have a medical condition that severely impairs their mobility or who are certified visually impaired are eligible to apply.

Q: What information should I provide on the application?
A: You should provide your personal information, medical information, and certification from a healthcare provider.

Q: Are there any fees associated with the application?
A: No, there are no fees for the disability parking family placard.

Q: How long is the disability parking family placard valid for?
A: The disability parking family placard is valid for five years.

Q: Can I submit the application by mail?
A: Yes, you can submit the application by mail to the Oregon Department of Transportation.

Q: How long does it take to process the application?
A: It typically takes around 10-15 business days to process the application.

Q: Can I use the disability parking family placard in other states?
A: Yes, the disability parking family placard is recognized in all 50 states.

ADVERTISEMENT

Form Details:

  • Released on February 1, 2022;
  • The latest edition provided by the Oregon Department of Transportation - Driver and Motor Vehicle Services;
  • Easy to use and ready to print;
  • Quick to customize;
  • Compatible with most PDF-viewing applications;
  • Fill out the form in our online filing application.

Download a fillable version of Form 735-265 FPP by clicking the link below or browse more documents and templates provided by the Oregon Department of Transportation - Driver and Motor Vehicle Services.

Download Form 735-265 FPP Disability Parking Family Placard Application - Oregon

4.5 of 5 (12 votes)
  • Form 735-265 FPP Disability Parking Family Placard Application - Oregon

    1

  • Form 735-265 FPP Disability Parking Family Placard Application - Oregon, Page 2

    2

  • Form 735-265 FPP Disability Parking Family Placard Application - Oregon, Page 1
  • Form 735-265 FPP Disability Parking Family Placard Application - Oregon, Page 2
Prev 1 2 Next
ADVERTISEMENT