FERC Form 552 Annual Report of Natural Gas Transactions

Notification Icon This version of the form is not currently in use and is provided for reference only. Download this version of FERC Form 552 for the current year.

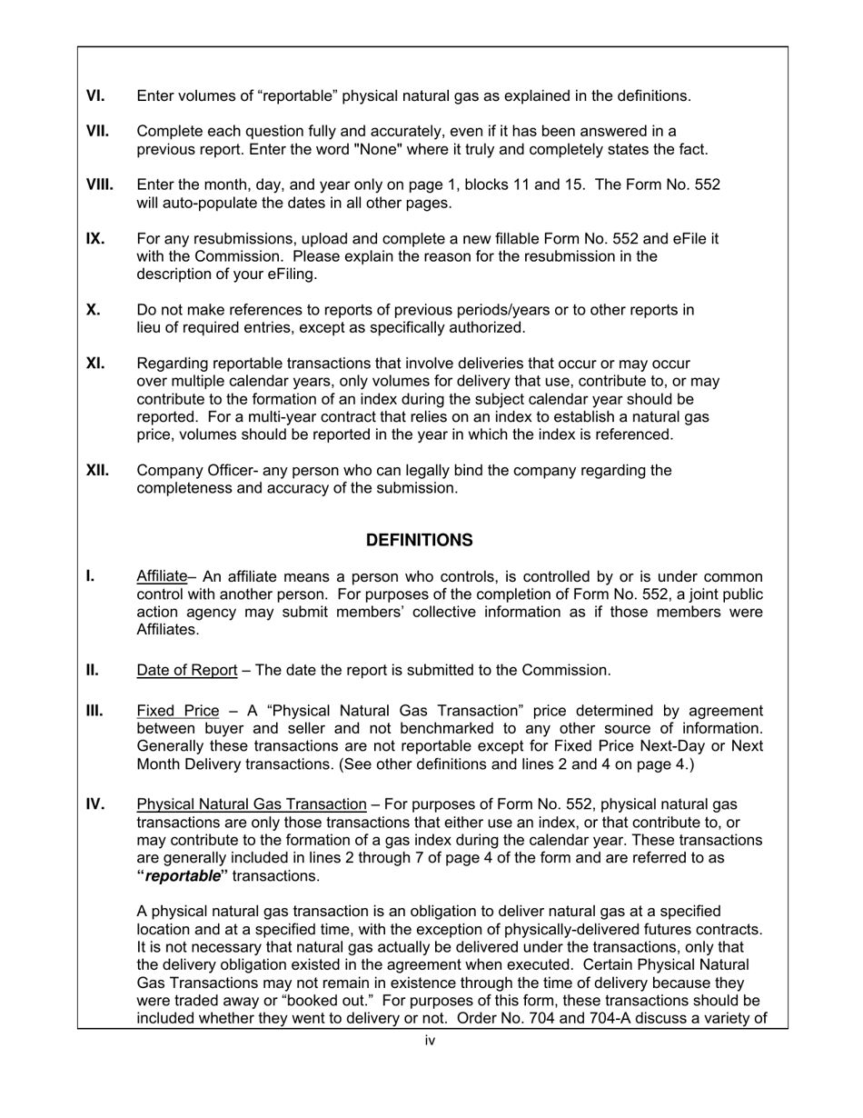
FERC Form 552 Annual Report of Natural Gas Transactions

What Is FERC Form 552?

This is a legal form that was released by the Federal Energy Regulatory Commission and used country-wide. As of today, no separate filing guidelines for the form are provided by the issuing department.

FAQ

Q: What is FERC Form 552?
A: FERC Form 552 is an annual report that captures information on natural gas transactions.

Q: Who is required to submit FERC Form 552?
A: Entities involved in natural gas transactions, such as pipelines and storage operators, are required to submit FERC Form 552.

Q: What information does FERC Form 552 capture?
A: FERC Form 552 captures information on natural gas purchases, sales, and transportation activities, as well as market participants and volumes.

Q: Why is FERC Form 552 important?
A: FERC Form 552 allows the Federal Energy Regulatory Commission (FERC) to monitor and analyze natural gas market activities to ensure fair competition and transparency.

Q: When is the deadline to submit FERC Form 552?
A: The deadline to submit FERC Form 552 is typically in the first quarter of each year, with specific dates announced by FERC.

ADVERTISEMENT

Form Details:

  • The latest available edition released by the Federal Energy Regulatory Commission;
  • Easy to use and ready to print;
  • Yours to fill out and keep for your records;
  • Compatible with most PDF-viewing applications;
  • Fill out the form in our online filing application.

Download a fillable version of FERC Form 552 by clicking the link below or browse more documents and templates provided by the Federal Energy Regulatory Commission.

Download FERC Form 552 Annual Report of Natural Gas Transactions

4.8 of 5 (13 votes)
  • FERC Form 552 Annual Report of Natural Gas Transactions

    1

  • FERC Form 552 Annual Report of Natural Gas Transactions, Page 2

    2

  • FERC Form 552 Annual Report of Natural Gas Transactions, Page 3

    3

  • FERC Form 552 Annual Report of Natural Gas Transactions, Page 4

    4

  • FERC Form 552 Annual Report of Natural Gas Transactions, Page 5

    5

  • FERC Form 552 Annual Report of Natural Gas Transactions, Page 6

    6

  • FERC Form 552 Annual Report of Natural Gas Transactions, Page 7

    7

  • FERC Form 552 Annual Report of Natural Gas Transactions, Page 8

    8

  • FERC Form 552 Annual Report of Natural Gas Transactions, Page 9

    9

  • FERC Form 552 Annual Report of Natural Gas Transactions, Page 10

    10

  • FERC Form 552 Annual Report of Natural Gas Transactions, Page 11

    11

  • FERC Form 552 Annual Report of Natural Gas Transactions, Page 12

    12

  • FERC Form 552 Annual Report of Natural Gas Transactions, Page 1
  • FERC Form 552 Annual Report of Natural Gas Transactions, Page 2
  • FERC Form 552 Annual Report of Natural Gas Transactions, Page 3
  • FERC Form 552 Annual Report of Natural Gas Transactions, Page 4
  • FERC Form 552 Annual Report of Natural Gas Transactions, Page 5
  • FERC Form 552 Annual Report of Natural Gas Transactions, Page 6
  • FERC Form 552 Annual Report of Natural Gas Transactions, Page 7
  • FERC Form 552 Annual Report of Natural Gas Transactions, Page 8
  • FERC Form 552 Annual Report of Natural Gas Transactions, Page 9
  • FERC Form 552 Annual Report of Natural Gas Transactions, Page 10
  • FERC Form 552 Annual Report of Natural Gas Transactions, Page 11
  • FERC Form 552 Annual Report of Natural Gas Transactions, Page 12
Prev 1 2 3 4 5 ... 12 Next
ADVERTISEMENT