Form TC98-3 Application for Temporary off-Site Sale or Display Event - Kentucky

Form TC98-3 Application for Temporary off-Site Sale or Display Event - Kentucky

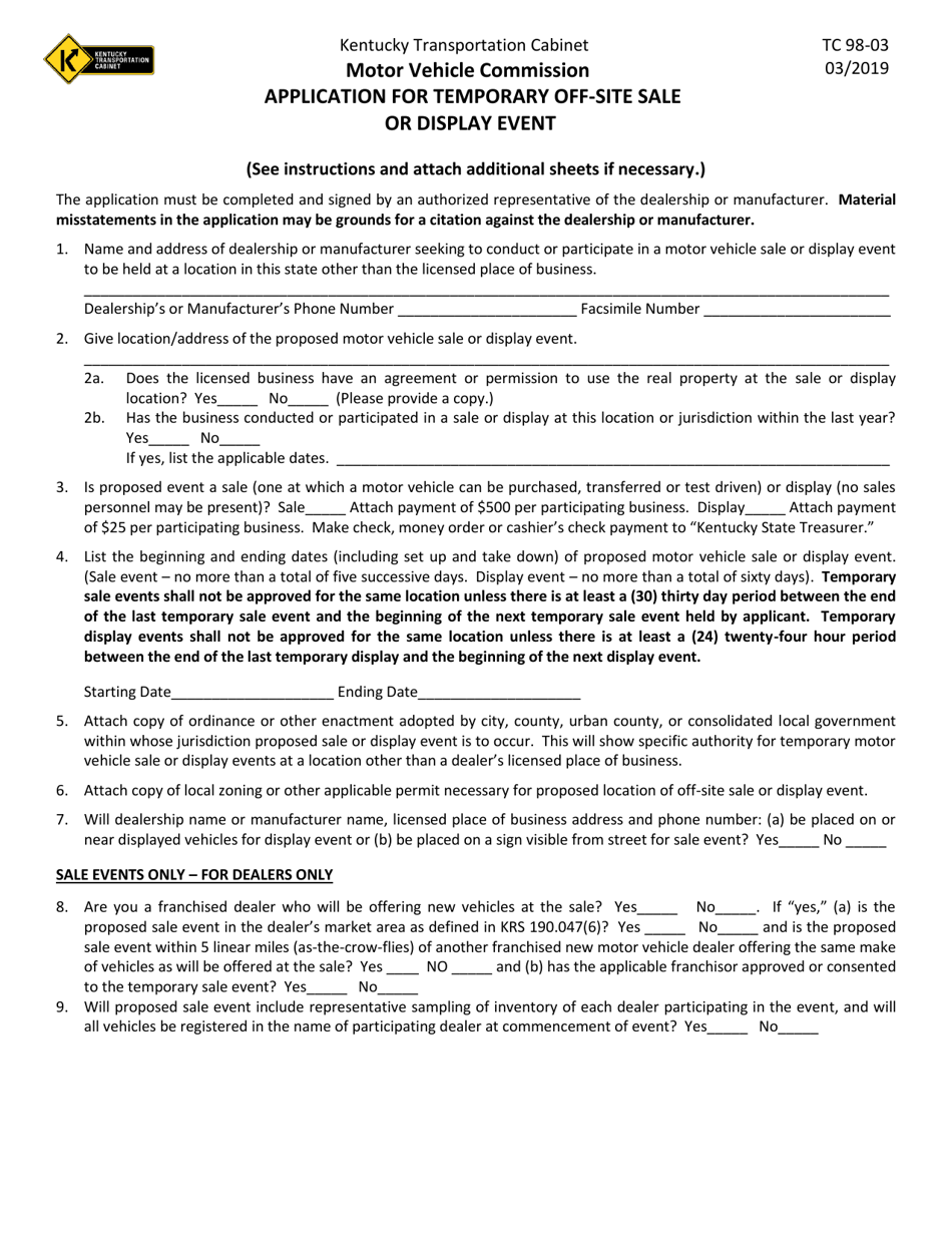
What Is Form TC98-3?

This is a legal form that was released by the Kentucky Transportation Cabinet - a government authority operating within Kentucky. As of today, no separate filing guidelines for the form are provided by the issuing department.

FAQ

Q: What is Form TC98-3?
A: Form TC98-3 is an application for a temporary off-site sale or display event in Kentucky.

Q: Who should use Form TC98-3?
A: Businesses or individuals who want to hold a temporary off-site sale or display event in Kentucky should use Form TC98-3.

Q: What is the purpose of Form TC98-3?
A: Form TC98-3 is used to apply for permission to hold a temporary off-site sale or display event in Kentucky.

Q: Is there a fee to submit Form TC98-3?
A: Yes, there is a fee associated with submitting Form TC98-3. The fee amount will vary depending on the type of event.

ADVERTISEMENT

Form Details:

  • Released on March 1, 2019;
  • The latest edition provided by the Kentucky Transportation Cabinet;
  • Easy to use and ready to print;
  • Quick to customize;
  • Compatible with most PDF-viewing applications;
  • Fill out the form in our online filing application.

Download a printable version of Form TC98-3 by clicking the link below or browse more documents and templates provided by the Kentucky Transportation Cabinet.

Download Form TC98-3 Application for Temporary off-Site Sale or Display Event - Kentucky

4.3 of 5 (17 votes)
  • Form TC98-3 Application for Temporary off-Site Sale or Display Event - Kentucky

    1

  • Form TC98-3 Application for Temporary off-Site Sale or Display Event - Kentucky, Page 2

    2

  • Form TC98-3 Application for Temporary off-Site Sale or Display Event - Kentucky, Page 3

    3

  • Form TC98-3 Application for Temporary off-Site Sale or Display Event - Kentucky, Page 1
  • Form TC98-3 Application for Temporary off-Site Sale or Display Event - Kentucky, Page 2
  • Form TC98-3 Application for Temporary off-Site Sale or Display Event - Kentucky, Page 3
Prev 1 2 3 Next
ADVERTISEMENT

Related Documents