Form 650 Statement of Transparency and Sustainability Standards - Rhode Island

Notification Icon This version of the form is not currently in use and is provided for reference only. Download this version of Form 650 for the current year.

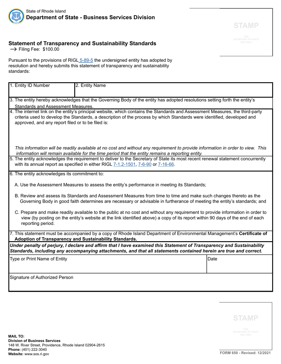
Form 650 Statement of Transparency and Sustainability Standards - Rhode Island

What Is Form 650?

This is a legal form that was released by the Rhode Island Secretary of State - a government authority operating within Rhode Island. As of today, no separate filing guidelines for the form are provided by the issuing department.

FAQ

Q: What is Form 650?
A: Form 650 is a statement of transparency and sustainability standards in Rhode Island.

Q: What is the purpose of Form 650?
A: The purpose of Form 650 is to document an organization's commitment to transparency and sustainability in Rhode Island.

Q: Who needs to file Form 650?
A: Organizations in Rhode Island that want to demonstrate their transparency and sustainability standards.

Q: What information is required on Form 650?
A: Form 650 requires organizations to provide details about their transparency and sustainability practices.

Q: Is there a deadline for filing Form 650?
A: Yes, organizations must file Form 650 by the specified deadline set by the Rhode Island state government.

Q: Are there any fees associated with filing Form 650?
A: No, there are no filing fees associated with Form 650.

Q: What are the consequences for not filing Form 650?
A: Failure to file Form 650 may result in penalties or other legal consequences.

Q: Can Form 650 be amended?
A: Yes, Form 650 can be amended if there are changes to an organization's transparency and sustainability practices.

Q: Is Form 650 confidential?
A: The information provided on Form 650 may be subject to public disclosure in accordance with Rhode Island's public records laws.

ADVERTISEMENT

Form Details:

  • Released on December 1, 2021;
  • The latest edition provided by the Rhode Island Secretary of State;
  • Easy to use and ready to print;
  • Quick to customize;
  • Compatible with most PDF-viewing applications;
  • Fill out the form in our online filing application.

Download a fillable version of Form 650 by clicking the link below or browse more documents and templates provided by the Rhode Island Secretary of State.

Download Form 650 Statement of Transparency and Sustainability Standards - Rhode Island

4.8 of 5 (31 votes)
  • Form 650 Statement of Transparency and Sustainability Standards - Rhode Island

    1

  • Form 650 Statement of Transparency and Sustainability Standards - Rhode Island, Page 2

    2

  • Form 650 Statement of Transparency and Sustainability Standards - Rhode Island, Page 1
  • Form 650 Statement of Transparency and Sustainability Standards - Rhode Island, Page 2
Prev 1 2 Next
ADVERTISEMENT