Form 651 Renewal Statement of Transparency and Sustainability Standards - Rhode Island

Notification Icon This version of the form is not currently in use and is provided for reference only. Download this version of Form 651 for the current year.

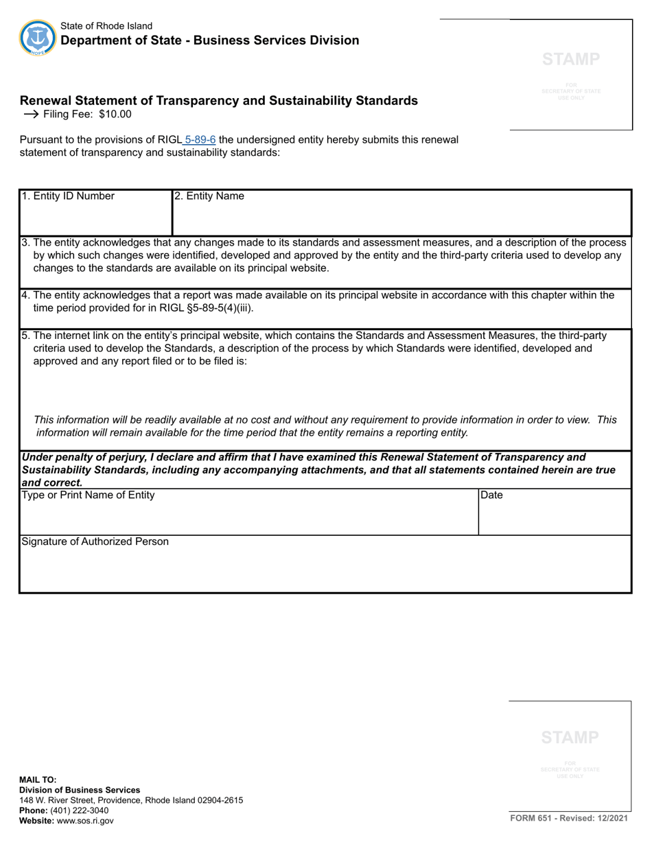
Form 651 Renewal Statement of Transparency and Sustainability Standards - Rhode Island

What Is Form 651?

This is a legal form that was released by the Rhode Island Secretary of State - a government authority operating within Rhode Island. As of today, no separate filing guidelines for the form are provided by the issuing department.

FAQ

Q: What is Form 651?
A: Form 651 is the Renewal Statement of Transparency and Sustainability Standards.

Q: What is the purpose of Form 651?
A: The purpose of Form 651 is to renew the transparency and sustainability standards for a business in Rhode Island.

Q: Who needs to file Form 651?
A: Businesses in Rhode Island that have previously filed the Transparency and Sustainability Standards Certification form need to file Form 651 to renew their certification.

Q: What are transparency and sustainability standards?
A: Transparency and sustainability standards are guidelines that businesses follow to ensure they are conducting their operations in an ethical and environmentally responsible manner.

Q: When is Form 651 due?
A: Form 651 is due by the anniversary date of the initial filing of the Transparency and Sustainability Standards Certification form.

Q: What happens if a business fails to file Form 651?
A: Failure to file Form 651 may result in the revocation of the transparency and sustainability certification for the business.

Q: Is there a fee for filing Form 651?
A: Yes, there is a fee associated with filing Form 651. The fee amount may vary and should be confirmed with the Rhode Island Secretary of State's office.

ADVERTISEMENT

Form Details:

  • Released on December 1, 2021;
  • The latest edition provided by the Rhode Island Secretary of State;
  • Easy to use and ready to print;
  • Quick to customize;
  • Compatible with most PDF-viewing applications;
  • Fill out the form in our online filing application.

Download a fillable version of Form 651 by clicking the link below or browse more documents and templates provided by the Rhode Island Secretary of State.

Download Form 651 Renewal Statement of Transparency and Sustainability Standards - Rhode Island

4.4 of 5 (8 votes)
  • Form 651 Renewal Statement of Transparency and Sustainability Standards - Rhode Island

    1

  • Form 651 Renewal Statement of Transparency and Sustainability Standards - Rhode Island, Page 2

    2

  • Form 651 Renewal Statement of Transparency and Sustainability Standards - Rhode Island, Page 1
  • Form 651 Renewal Statement of Transparency and Sustainability Standards - Rhode Island, Page 2
Prev 1 2 Next
ADVERTISEMENT