Form LR-ER Lobbyist Monthly Expense Report - North Carolina

Form LR-ER Lobbyist Monthly Expense Report - North Carolina

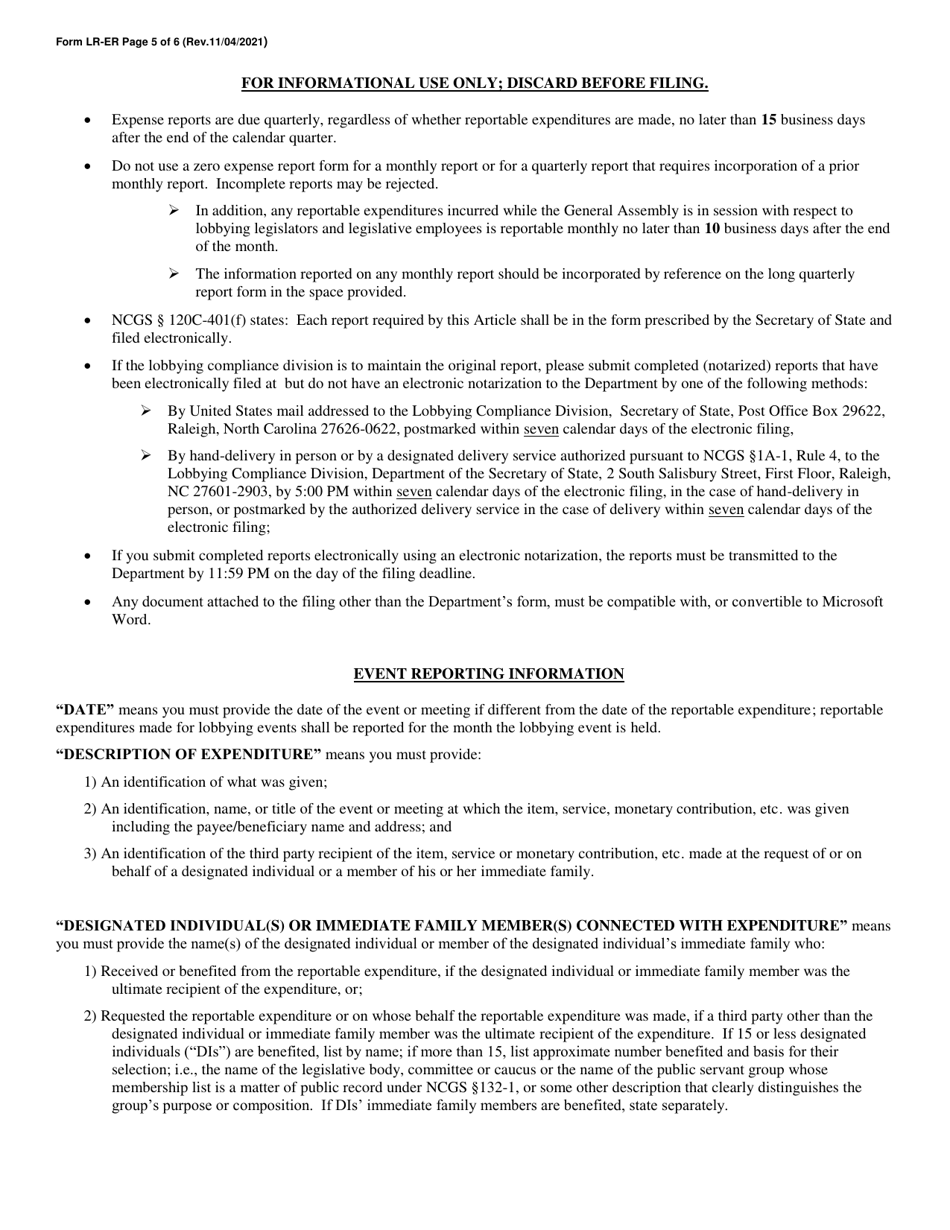
What Is Form LR-ER?

This is a legal form that was released by the North Carolina Secretary of State - a government authority operating within North Carolina. As of today, no separate filing guidelines for the form are provided by the issuing department.

FAQ

Q: What is LR-ER Lobbyist Monthly Expense Report?
A: LR-ER Lobbyist Monthly Expense Report is a document used by lobbyists in North Carolina to report their monthly expenses.

Q: Who uses the LR-ER Lobbyist Monthly Expense Report?
A: Lobbyists in North Carolina use the LR-ER Lobbyist Monthly Expense Report.

Q: What expenses are reported in the LR-ER Lobbyist Monthly Expense Report?
A: The LR-ER Lobbyist Monthly Expense Report is used to report various expenses related to lobbying activities, such as travel, meals, entertainment, and gifts.

Q: Is the LR-ER Lobbyist Monthly Expense Report specific to North Carolina?
A: Yes, the LR-ER Lobbyist Monthly Expense Report is specific to North Carolina and is not used in other states.

ADVERTISEMENT

Form Details:

  • Released on November 4, 2021;
  • The latest edition provided by the North Carolina Secretary of State;
  • Easy to use and ready to print;
  • Quick to customize;
  • Compatible with most PDF-viewing applications;
  • Fill out the form in our online filing application.

Download a printable version of Form LR-ER by clicking the link below or browse more documents and templates provided by the North Carolina Secretary of State.

Download Form LR-ER Lobbyist Monthly Expense Report - North Carolina

4.7 of 5 (7 votes)
  • Form LR-ER Lobbyist Monthly Expense Report - North Carolina

    1

  • Form LR-ER Lobbyist Monthly Expense Report - North Carolina, Page 2

    2

  • Form LR-ER Lobbyist Monthly Expense Report - North Carolina, Page 3

    3

  • Form LR-ER Lobbyist Monthly Expense Report - North Carolina, Page 4

    4

  • Form LR-ER Lobbyist Monthly Expense Report - North Carolina, Page 5

    5

  • Form LR-ER Lobbyist Monthly Expense Report - North Carolina, Page 6

    6

  • Form LR-ER Lobbyist Monthly Expense Report - North Carolina, Page 1
  • Form LR-ER Lobbyist Monthly Expense Report - North Carolina, Page 2
  • Form LR-ER Lobbyist Monthly Expense Report - North Carolina, Page 3
  • Form LR-ER Lobbyist Monthly Expense Report - North Carolina, Page 4
  • Form LR-ER Lobbyist Monthly Expense Report - North Carolina, Page 5
  • Form LR-ER Lobbyist Monthly Expense Report - North Carolina, Page 6
Prev 1 2 3 4 5 6 Next
ADVERTISEMENT