Form LGL-RAS Local Government Liaison Registration and Authorization Statement - North Carolina

Notification Icon This version of the form is not currently in use and is provided for reference only. Download this version of Form LGL-RAS for the current year.

Form LGL-RAS Local Government Liaison Registration and Authorization Statement - North Carolina

What Is Form LGL-RAS?

This is a legal form that was released by the North Carolina Secretary of State - a government authority operating within North Carolina. As of today, no separate filing guidelines for the form are provided by the issuing department.

FAQ

Q: What is the LGL-RAS?
A: LGL-RAS stands for Local Government Liaison Registration and Authorization Statement.

Q: What is the purpose of the LGL-RAS?
A: The purpose of the LGL-RAS is to register and authorize individuals who serve in a local government liaison capacity.

Q: Who needs to complete the LGL-RAS?
A: Individuals who serve in a local government liaison capacity need to complete the LGL-RAS.

Q: Is the LGL-RAS mandatory?
A: Yes, completing the LGL-RAS is mandatory for individuals serving in a local government liaison capacity.

Q: How can the LGL-RAS be completed?
A: The LGL-RAS can be completed by filling out the necessary form and submitting it to the appropriate authority.

Q: What happens after the LGL-RAS is completed?
A: Once the LGL-RAS is completed and submitted, individuals will receive registration and authorization as a local government liaison.

Q: Is there a fee for the LGL-RAS?
A: There may be a fee associated with the LGL-RAS. Please refer to the relevant guidelines for more information.

Q: Can the LGL-RAS be renewed?
A: Yes, the LGL-RAS may need to be renewed periodically. Please refer to the relevant guidelines for renewal requirements.

Q: What are the consequences of not completing the LGL-RAS?
A: Not completing the LGL-RAS may result in being ineligible to serve in a local government liaison capacity.

ADVERTISEMENT

Form Details:

  • Released on November 4, 2021;
  • The latest edition provided by the North Carolina Secretary of State;
  • Easy to use and ready to print;
  • Quick to customize;
  • Compatible with most PDF-viewing applications;
  • Fill out the form in our online filing application.

Download a printable version of Form LGL-RAS by clicking the link below or browse more documents and templates provided by the North Carolina Secretary of State.

Download Form LGL-RAS Local Government Liaison Registration and Authorization Statement - North Carolina

4.7 of 5 (10 votes)
  • Form LGL-RAS Local Government Liaison Registration and Authorization Statement - North Carolina

    1

  • Form LGL-RAS Local Government Liaison Registration and Authorization Statement - North Carolina, Page 2

    2

  • Form LGL-RAS Local Government Liaison Registration and Authorization Statement - North Carolina, Page 3

    3

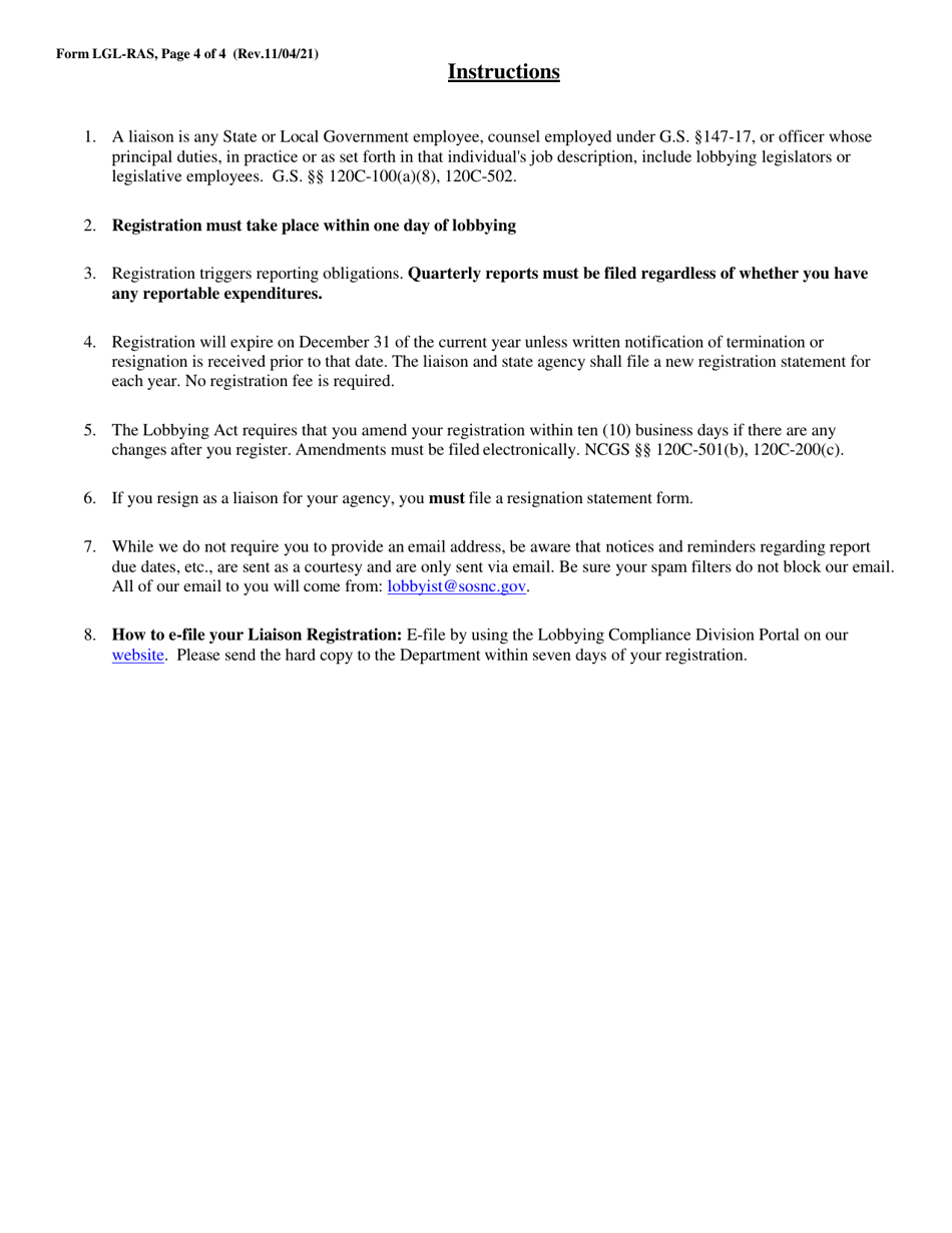
  • Form LGL-RAS Local Government Liaison Registration and Authorization Statement - North Carolina, Page 4

    4

  • Form LGL-RAS Local Government Liaison Registration and Authorization Statement - North Carolina, Page 1
  • Form LGL-RAS Local Government Liaison Registration and Authorization Statement - North Carolina, Page 2
  • Form LGL-RAS Local Government Liaison Registration and Authorization Statement - North Carolina, Page 3
  • Form LGL-RAS Local Government Liaison Registration and Authorization Statement - North Carolina, Page 4
Prev 1 2 3 4 Next
ADVERTISEMENT