One and Two Family Dwelling Inspection Checklist - Volusia County, Florida

One and Two Family Dwelling Inspection Checklist - Volusia County, Florida

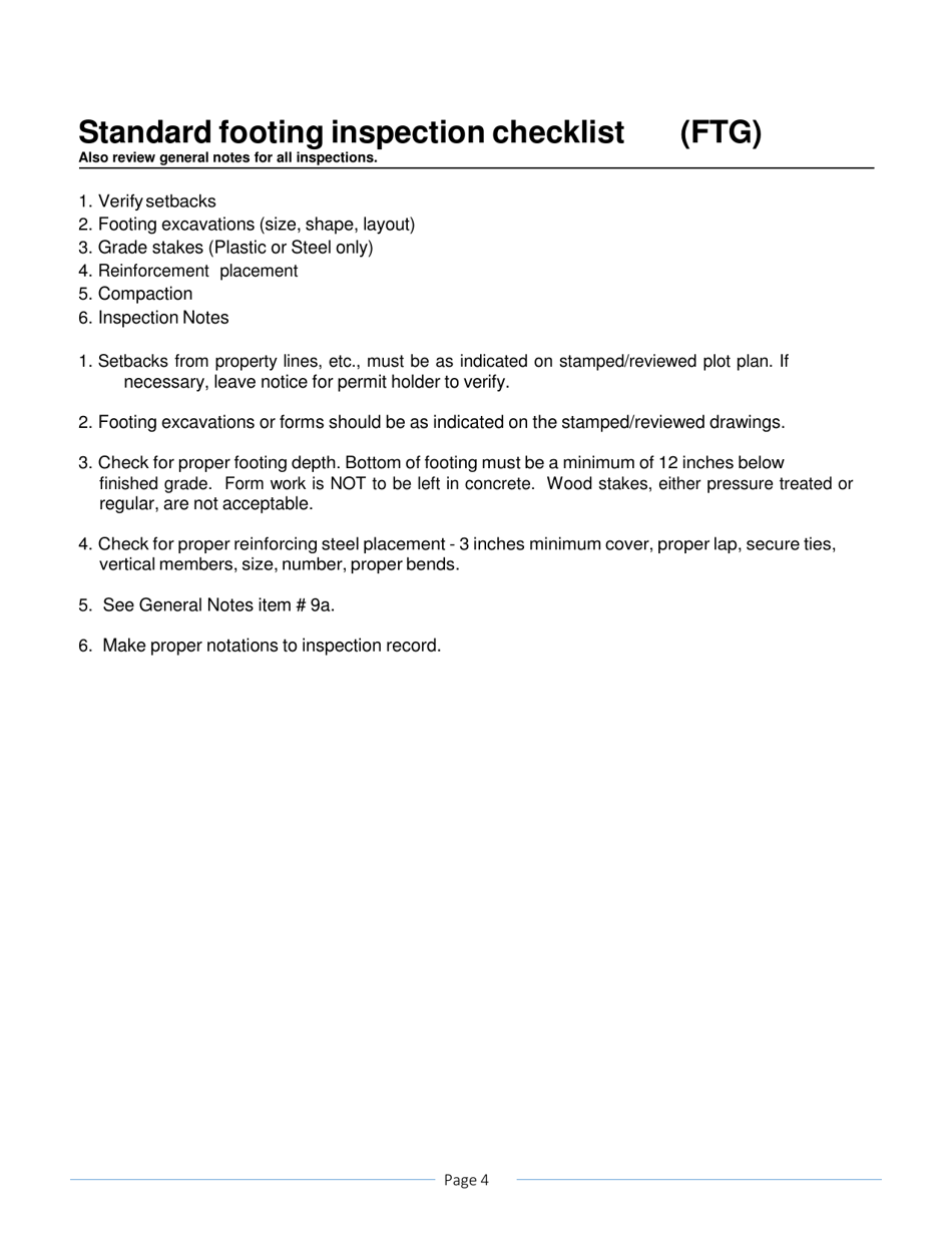
One and Two Family Dwelling Inspection Checklist is a legal document that was released by the Growth and Resource Management Department - Volusia County, Florida - a government authority operating within Florida. The form may be used strictly within Volusia County.

FAQ

Q: What is the purpose of the One and Two Family Dwelling Inspection Checklist?
A: The checklist is used to ensure that one and two family dwellings in Volusia County, Florida meet the necessary safety and construction standards during inspections.

Q: Who uses the One and Two Family Dwelling Inspection Checklist?
A: Inspectors and contractors use the checklist to inspect and evaluate one and two family dwellings in Volusia County, Florida.

Q: What types of dwellings does the checklist apply to?
A: The checklist applies to one and two family dwellings in Volusia County, Florida.

Q: What is the purpose of the inspection process?
A: The inspection process ensures that the construction and safety standards for one and two family dwellings are met.

Q: What is the role of inspectors during the inspection process?
A: Inspectors review the construction, electrical, plumbing, and mechanical systems of one and two family dwellings to ensure compliance with safety and building codes.

Q: What happens if a dwelling does not meet the necessary standards during inspection?
A: If a dwelling does not meet the necessary standards, the inspector may issue violations and require the necessary corrective actions to be taken.

Q: Do I need to have an inspection for a one or two family dwelling in Volusia County, Florida?
A: Yes, inspections are required to ensure that one and two family dwellings meet safety and construction standards in Volusia County, Florida.

Q: Who is responsible for obtaining the necessary inspections?
A: The property owner or contractor is responsible for scheduling and obtaining the necessary inspections.

Q: Can I perform the inspections myself?
A: No, inspections must be conducted by qualified inspectors who are authorized by the local building department.

ADVERTISEMENT

Form Details:

  • Released on July 1, 2015;
  • The latest edition currently provided by the Growth and Resource Management Department - Volusia County, Florida;
  • Ready to use and print;
  • Easy to customize;
  • Compatible with most PDF-viewing applications;
  • Fill out the form in our online filing application.

Download a printable version of the form by clicking the link below or browse more documents and templates provided by the Growth and Resource Management Department - Volusia County, Florida.

Download One and Two Family Dwelling Inspection Checklist - Volusia County, Florida

4.4 of 5 (24 votes)
  • One and Two Family Dwelling Inspection Checklist - Volusia County, Florida

    1

  • One and Two Family Dwelling Inspection Checklist - Volusia County, Florida, Page 2

    2

  • One and Two Family Dwelling Inspection Checklist - Volusia County, Florida, Page 3

    3

  • One and Two Family Dwelling Inspection Checklist - Volusia County, Florida, Page 4

    4

  • One and Two Family Dwelling Inspection Checklist - Volusia County, Florida, Page 5

    5

  • One and Two Family Dwelling Inspection Checklist - Volusia County, Florida, Page 6

    6

  • One and Two Family Dwelling Inspection Checklist - Volusia County, Florida, Page 7

    7

  • One and Two Family Dwelling Inspection Checklist - Volusia County, Florida, Page 8

    8

  • One and Two Family Dwelling Inspection Checklist - Volusia County, Florida, Page 9

    9

  • One and Two Family Dwelling Inspection Checklist - Volusia County, Florida, Page 10

    10

  • One and Two Family Dwelling Inspection Checklist - Volusia County, Florida, Page 11

    11

  • One and Two Family Dwelling Inspection Checklist - Volusia County, Florida, Page 12

    12

  • One and Two Family Dwelling Inspection Checklist - Volusia County, Florida, Page 13

    13

  • One and Two Family Dwelling Inspection Checklist - Volusia County, Florida, Page 14

    14

  • One and Two Family Dwelling Inspection Checklist - Volusia County, Florida, Page 15

    15

  • One and Two Family Dwelling Inspection Checklist - Volusia County, Florida, Page 16

    16

  • One and Two Family Dwelling Inspection Checklist - Volusia County, Florida, Page 17

    17

  • One and Two Family Dwelling Inspection Checklist - Volusia County, Florida, Page 1
  • One and Two Family Dwelling Inspection Checklist - Volusia County, Florida, Page 2
  • One and Two Family Dwelling Inspection Checklist - Volusia County, Florida, Page 3
  • One and Two Family Dwelling Inspection Checklist - Volusia County, Florida, Page 4
  • One and Two Family Dwelling Inspection Checklist - Volusia County, Florida, Page 5
  • One and Two Family Dwelling Inspection Checklist - Volusia County, Florida, Page 6
  • One and Two Family Dwelling Inspection Checklist - Volusia County, Florida, Page 7
  • One and Two Family Dwelling Inspection Checklist - Volusia County, Florida, Page 8
  • One and Two Family Dwelling Inspection Checklist - Volusia County, Florida, Page 9
  • One and Two Family Dwelling Inspection Checklist - Volusia County, Florida, Page 10
  • One and Two Family Dwelling Inspection Checklist - Volusia County, Florida, Page 11
  • One and Two Family Dwelling Inspection Checklist - Volusia County, Florida, Page 12
  • One and Two Family Dwelling Inspection Checklist - Volusia County, Florida, Page 13
  • One and Two Family Dwelling Inspection Checklist - Volusia County, Florida, Page 14
  • One and Two Family Dwelling Inspection Checklist - Volusia County, Florida, Page 15
  • One and Two Family Dwelling Inspection Checklist - Volusia County, Florida, Page 16
  • One and Two Family Dwelling Inspection Checklist - Volusia County, Florida, Page 17
Prev 1 2 3 4 5 ... 17 Next
ADVERTISEMENT