Radiation Protection Program for Mammography Registrants - Florida

Radiation Protection Program for Mammography Registrants - Florida

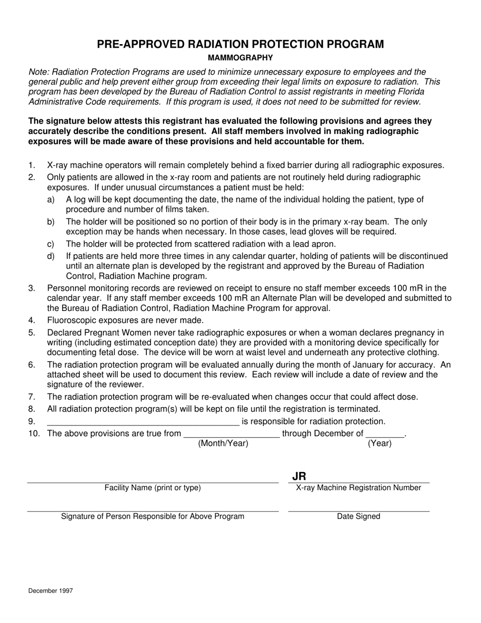
Radiation Protection Program for Mammography Registrants is a legal document that was released by the Florida Department of Health - a government authority operating within Florida.

FAQ

Q: What is a Radiation Protection Program?
A: A Radiation Protection Program is a set of procedures and practices designed to ensure the safe use of radiation in medical procedures like mammography.

Q: Who are Mammography Registrants?
A: Mammography Registrants are healthcare facilities and professionals who perform mammography procedures in the state of Florida.

Q: Why is a Radiation Protection Program necessary for mammography?
A: A Radiation Protection Program is necessary for mammography to minimize the potential risks of radiation exposure to patients and healthcare workers.

Q: What are the requirements for a Radiation Protection Program for mammography registrants in Florida?
A: The requirements for a Radiation Protection Program for mammography registrants in Florida include proper equipment calibration, regular quality control testing, staff training, and maintaining accurate records.

Q: Who regulates and enforces the Radiation Protection Program for mammography registrants in Florida?
A: The Radiation Control Program of the Florida Department of Health regulates and enforces the Radiation Protection Program for mammography registrants in Florida.

Q: What are the penalties for non-compliance with the Radiation Protection Program for mammography registrants in Florida?
A: Penalties for non-compliance with the Radiation Protection Program for mammography registrants in Florida may include fines, suspension or revocation of licenses, and other regulatory actions.

ADVERTISEMENT

Form Details:

  • Released on December 1, 1997;
  • The latest edition currently provided by the Florida Department of Health;
  • Ready to use and print;
  • Easy to customize;
  • Compatible with most PDF-viewing applications;
  • Fill out the form in our online filing application.

Download a printable version of the form by clicking the link below or browse more documents and templates provided by the Florida Department of Health.

Download Radiation Protection Program for Mammography Registrants - Florida

4.8 of 5 (21 votes)
  • Radiation Protection Program for Mammography Registrants - Florida

    1

  • Radiation Protection Program for Mammography Registrants - Florida, Page 2

    2

  • Radiation Protection Program for Mammography Registrants - Florida, Page 3

    3

  • Radiation Protection Program for Mammography Registrants - Florida, Page 4

    4

  • Radiation Protection Program for Mammography Registrants - Florida, Page 5

    5

  • Radiation Protection Program for Mammography Registrants - Florida, Page 1
  • Radiation Protection Program for Mammography Registrants - Florida, Page 2
  • Radiation Protection Program for Mammography Registrants - Florida, Page 3
  • Radiation Protection Program for Mammography Registrants - Florida, Page 4
  • Radiation Protection Program for Mammography Registrants - Florida, Page 5
Prev 1 2 3 4 5 Next
ADVERTISEMENT

Related Documents