Form IL486-2266 Application for Proposed Principal Officer - Medical Cannabis Dispensing Organization - Illinois

Form IL486-2266 Application for Proposed Principal Officer - Medical Cannabis Dispensing Organization - Illinois

What Is Form IL486-2266?

This is a legal form that was released by the Illinois Department of Financial and Professional Regulation - a government authority operating within Illinois. As of today, no separate filing guidelines for the form are provided by the issuing department.

FAQ

Q: What is Form IL486-2266?
A: Form IL486-2266 is an application for a proposed principal officer for a Medical Cannabis Dispensing Organization in Illinois.

Q: What is a Medical Cannabis Dispensing Organization?
A: A Medical Cannabis Dispensing Organization is an entity that is licensed to sell medical cannabis in Illinois.

Q: Who needs to complete Form IL486-2266?
A: Potential principal officers of a Medical Cannabis Dispensing Organization in Illinois need to complete Form IL486-2266.

Q: What information is required on Form IL486-2266?
A: Form IL486-2266 requires information such as personal details of the proposed principal officer, background information, and references.

Q: Are there any fees associated with Form IL486-2266?
A: Yes, there is a non-refundable application fee that needs to be paid along with Form IL486-2266.

Q: How long does it take to process Form IL486-2266?
A: The processing time for Form IL486-2266 can vary, but it typically takes several weeks to complete the review process.

Q: Are there any eligibility criteria for becoming a principal officer of a Medical Cannabis Dispensing Organization?
A: Yes, there are eligibility criteria that need to be met, including residency requirements and background checks.

Q: Can I apply to be a principal officer for multiple Medical Cannabis Dispensing Organizations?
A: No, an individual can only serve as a principal officer for one Medical Cannabis Dispensing Organization in Illinois.

ADVERTISEMENT

Form Details:

  • Released on October 1, 2021;
  • The latest edition provided by the Illinois Department of Financial and Professional Regulation;
  • Easy to use and ready to print;
  • Quick to customize;
  • Compatible with most PDF-viewing applications;
  • Fill out the form in our online filing application.

Download a fillable version of Form IL486-2266 by clicking the link below or browse more documents and templates provided by the Illinois Department of Financial and Professional Regulation.

Download Form IL486-2266 Application for Proposed Principal Officer - Medical Cannabis Dispensing Organization - Illinois

4.3 of 5 (22 votes)
  • Form IL486-2266 Application for Proposed Principal Officer - Medical Cannabis Dispensing Organization - Illinois

    1

  • Form IL486-2266 Application for Proposed Principal Officer - Medical Cannabis Dispensing Organization - Illinois, Page 2

    2

  • Form IL486-2266 Application for Proposed Principal Officer - Medical Cannabis Dispensing Organization - Illinois, Page 3

    3

  • Form IL486-2266 Application for Proposed Principal Officer - Medical Cannabis Dispensing Organization - Illinois, Page 4

    4

  • Form IL486-2266 Application for Proposed Principal Officer - Medical Cannabis Dispensing Organization - Illinois, Page 5

    5

  • Form IL486-2266 Application for Proposed Principal Officer - Medical Cannabis Dispensing Organization - Illinois, Page 6

    6

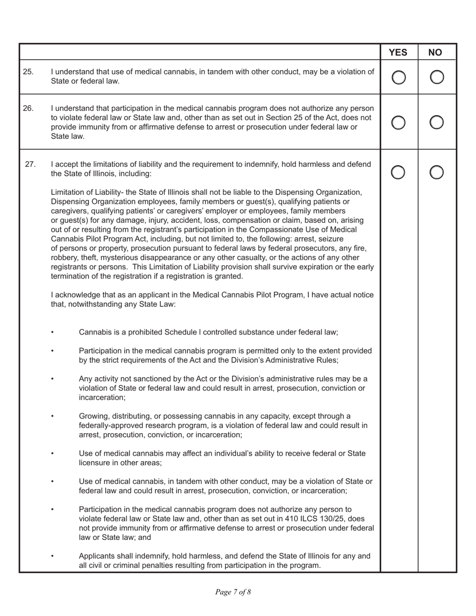
  • Form IL486-2266 Application for Proposed Principal Officer - Medical Cannabis Dispensing Organization - Illinois, Page 7

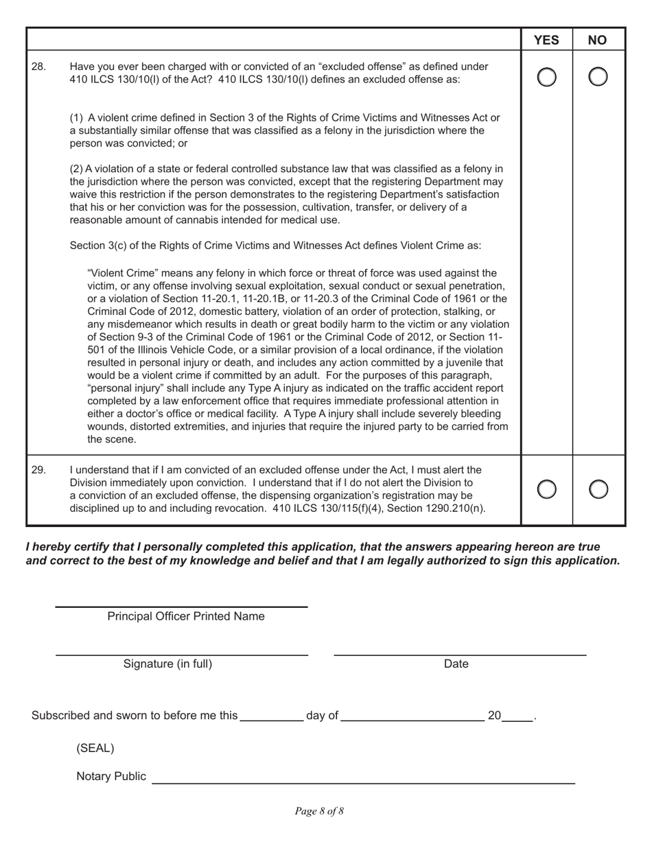
    7

  • Form IL486-2266 Application for Proposed Principal Officer - Medical Cannabis Dispensing Organization - Illinois, Page 8

    8

  • Form IL486-2266 Application for Proposed Principal Officer - Medical Cannabis Dispensing Organization - Illinois, Page 1
  • Form IL486-2266 Application for Proposed Principal Officer - Medical Cannabis Dispensing Organization - Illinois, Page 2
  • Form IL486-2266 Application for Proposed Principal Officer - Medical Cannabis Dispensing Organization - Illinois, Page 3
  • Form IL486-2266 Application for Proposed Principal Officer - Medical Cannabis Dispensing Organization - Illinois, Page 4
  • Form IL486-2266 Application for Proposed Principal Officer - Medical Cannabis Dispensing Organization - Illinois, Page 5
  • Form IL486-2266 Application for Proposed Principal Officer - Medical Cannabis Dispensing Organization - Illinois, Page 6
  • Form IL486-2266 Application for Proposed Principal Officer - Medical Cannabis Dispensing Organization - Illinois, Page 7
  • Form IL486-2266 Application for Proposed Principal Officer - Medical Cannabis Dispensing Organization - Illinois, Page 8
Prev 1 2 3 4 5 ... 8 Next
ADVERTISEMENT