Form IL486-2243 Dispensary Agent - Attestation Form - Medical Cannabis Dispensing Organization - Illinois

Form IL486-2243 Dispensary Agent - Attestation Form - Medical Cannabis Dispensing Organization - Illinois

What Is Form IL486-2243?

This is a legal form that was released by the Illinois Department of Financial and Professional Regulation - a government authority operating within Illinois. As of today, no separate filing guidelines for the form are provided by the issuing department.

FAQ

Q: What is Form IL486-2243?
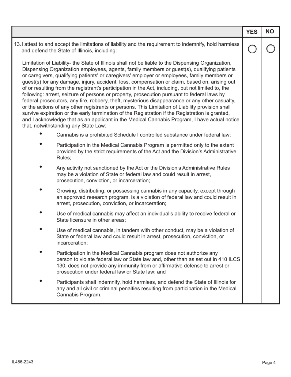
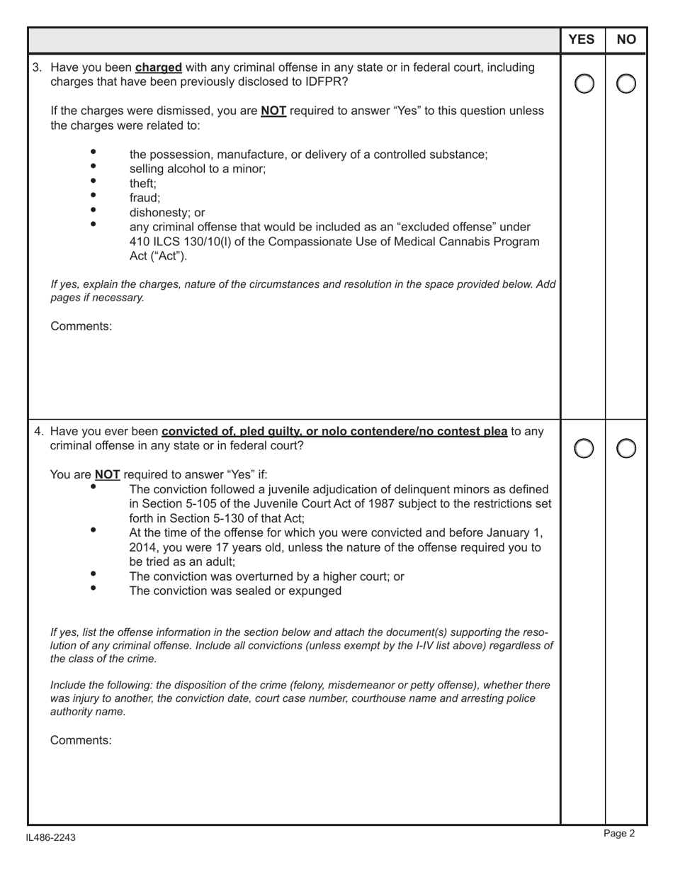
A: Form IL486-2243 is the Dispensary Agent - Attestation Form for Medical Cannabis Dispensing Organizations in Illinois.

Q: Who needs to fill out Form IL486-2243?
A: Dispensary agents working for a Medical Cannabis Dispensing Organization in Illinois need to fill out Form IL486-2243.

Q: What is the purpose of Form IL486-2243?
A: Form IL486-2243 is used to attest that the dispensary agent has completed the required training and meets the qualifications set by the Illinois Department of Financial and Professional Regulation.

Q: Is there a fee for filing Form IL486-2243?
A: No, there is no fee for filing Form IL486-2243.

Q: What information is required on Form IL486-2243?
A: Form IL486-2243 requires the dispensary agent's personal information, training completion details, and attestation of meeting qualification requirements.

Q: How often does Form IL486-2243 need to be filled out?
A: Form IL486-2243 needs to be filled out annually or whenever there is a change in the dispensary agent's employment or qualification status.

ADVERTISEMENT

Form Details:

  • Released on October 1, 2021;
  • The latest edition provided by the Illinois Department of Financial and Professional Regulation;
  • Easy to use and ready to print;
  • Quick to customize;
  • Compatible with most PDF-viewing applications;
  • Fill out the form in our online filing application.

Download a fillable version of Form IL486-2243 by clicking the link below or browse more documents and templates provided by the Illinois Department of Financial and Professional Regulation.

Download Form IL486-2243 Dispensary Agent - Attestation Form - Medical Cannabis Dispensing Organization - Illinois

4.3 of 5 (8 votes)
  • Form IL486-2243 Dispensary Agent - Attestation Form - Medical Cannabis Dispensing Organization - Illinois

    1

  • Form IL486-2243 Dispensary Agent - Attestation Form - Medical Cannabis Dispensing Organization - Illinois, Page 2

    2

  • Form IL486-2243 Dispensary Agent - Attestation Form - Medical Cannabis Dispensing Organization - Illinois, Page 3

    3

  • Form IL486-2243 Dispensary Agent - Attestation Form - Medical Cannabis Dispensing Organization - Illinois, Page 4

    4

  • Form IL486-2243 Dispensary Agent - Attestation Form - Medical Cannabis Dispensing Organization - Illinois, Page 5

    5

  • Form IL486-2243 Dispensary Agent - Attestation Form - Medical Cannabis Dispensing Organization - Illinois, Page 1
  • Form IL486-2243 Dispensary Agent - Attestation Form - Medical Cannabis Dispensing Organization - Illinois, Page 2
  • Form IL486-2243 Dispensary Agent - Attestation Form - Medical Cannabis Dispensing Organization - Illinois, Page 3
  • Form IL486-2243 Dispensary Agent - Attestation Form - Medical Cannabis Dispensing Organization - Illinois, Page 4
  • Form IL486-2243 Dispensary Agent - Attestation Form - Medical Cannabis Dispensing Organization - Illinois, Page 5
Prev 1 2 3 4 5 Next
ADVERTISEMENT