Low Income Reduced Refuse Rate Application - Borough of Emmaus, Pennsylvania

Low Income Reduced Refuse Rate Application - Borough of Emmaus, Pennsylvania

Low Income Reduced Refuse Rate Application is a legal document that was released by the Zoning Department - Borough of Emmaus, Pennsylvania - a government authority operating within Pennsylvania. The form may be used strictly within Borough of Emmaus.

FAQ

Q: What is the Low Income Reduced Refuse Rate Application?
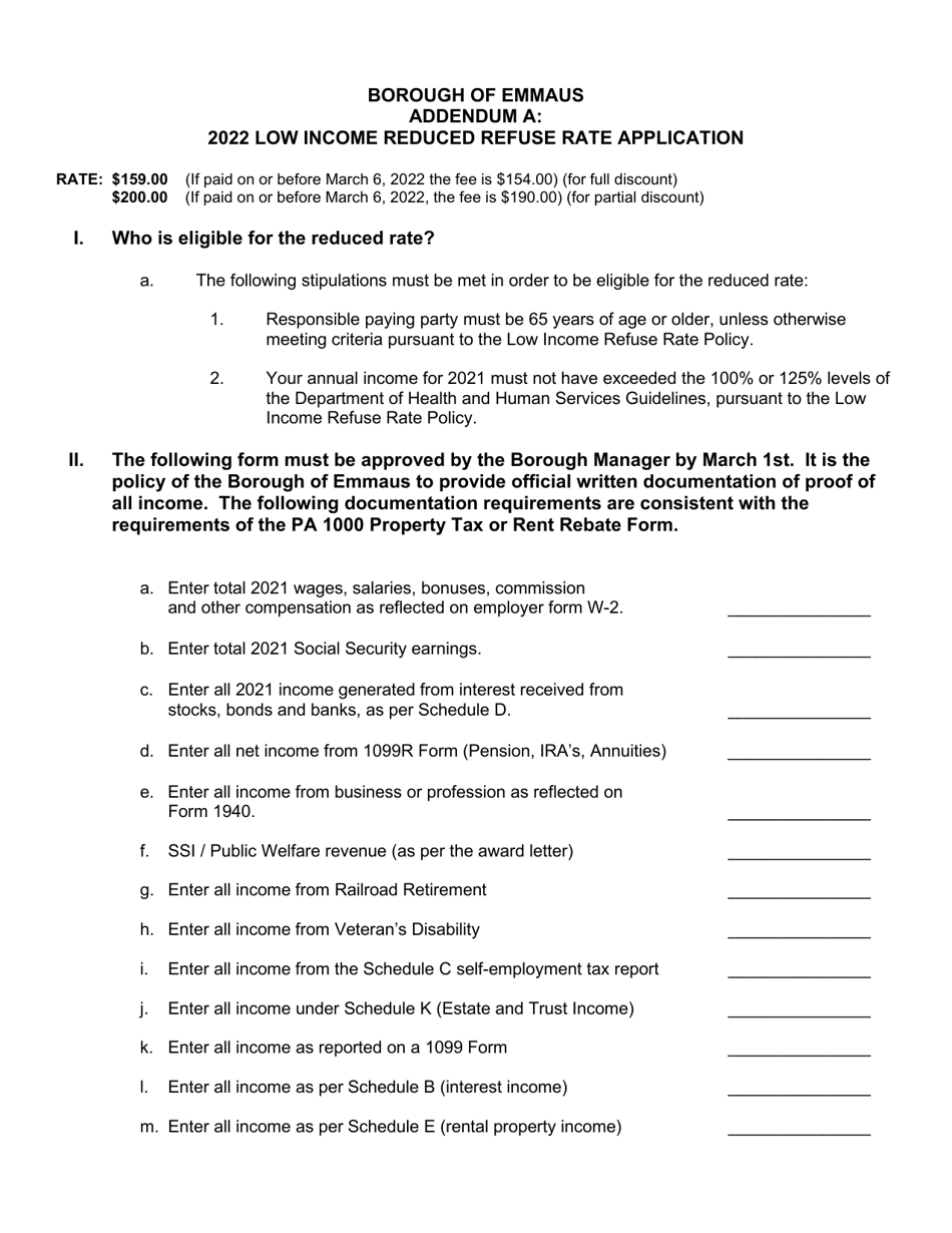
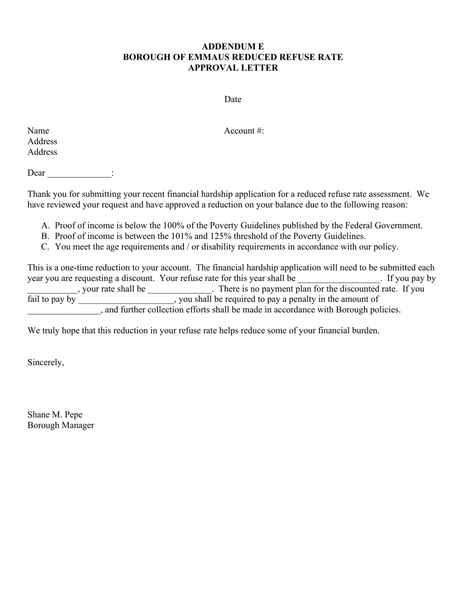
A: The Low Income Reduced Refuse Rate Application is a program offered by the Borough of Emmaus, Pennsylvania to provide a reduced rate on refuse collection services for low-income individuals and families.

Q: Who is eligible for the Low Income Reduced Refuse Rate?
A: Low-income individuals and families residing in the Borough of Emmaus, Pennsylvania may be eligible for the Low Income Reduced Refuse Rate.

Q: What documentation do I need to provide with the application?
A: You may be required to provide documentation such as proof of income, proof of residence, and identification when applying for the Low Income Reduced Refuse Rate. Contact the Borough of Emmaus for specific requirements.

Q: What are the benefits of the Low Income Reduced Refuse Rate?
A: The Low Income Reduced Refuse Rate program provides eligible residents with a reduced rate on refuse collection services, helping to alleviate the financial burden for low-income individuals and families.

Q: Is there a deadline to apply for the Low Income Reduced Refuse Rate?
A: Contact the Borough of Emmaus for information on the deadline to apply for the Low Income Reduced Refuse Rate. Deadlines may vary each year.

Q: Can I still apply if I live outside the Borough of Emmaus?
A: No, the Low Income Reduced Refuse Rate is only available to residents of the Borough of Emmaus, Pennsylvania.

Q: What other assistance programs are available for low-income residents in Emmaus?
A: There may be other assistance programs available for low-income residents in Emmaus. Contact the Borough's office or local social service agencies for more information.

ADVERTISEMENT

Form Details:

  • The latest edition currently provided by the Zoning Department - Borough of Emmaus, Pennsylvania;
  • Ready to use and print;
  • Easy to customize;
  • Compatible with most PDF-viewing applications;
  • Fill out the form in our online filing application.

Download a printable version of the form by clicking the link below or browse more documents and templates provided by the Zoning Department - Borough of Emmaus, Pennsylvania.

Download Low Income Reduced Refuse Rate Application - Borough of Emmaus, Pennsylvania

4.7 of 5 (17 votes)
  • Low Income Reduced Refuse Rate Application - Borough of Emmaus, Pennsylvania

    1

  • Low Income Reduced Refuse Rate Application - Borough of Emmaus, Pennsylvania, Page 2

    2

  • Low Income Reduced Refuse Rate Application - Borough of Emmaus, Pennsylvania, Page 3

    3

  • Low Income Reduced Refuse Rate Application - Borough of Emmaus, Pennsylvania, Page 4

    4

  • Low Income Reduced Refuse Rate Application - Borough of Emmaus, Pennsylvania, Page 5

    5

  • Low Income Reduced Refuse Rate Application - Borough of Emmaus, Pennsylvania, Page 6

    6

  • Low Income Reduced Refuse Rate Application - Borough of Emmaus, Pennsylvania, Page 7

    7

  • Low Income Reduced Refuse Rate Application - Borough of Emmaus, Pennsylvania, Page 8

    8

  • Low Income Reduced Refuse Rate Application - Borough of Emmaus, Pennsylvania, Page 9

    9

  • Low Income Reduced Refuse Rate Application - Borough of Emmaus, Pennsylvania, Page 10

    10

  • Low Income Reduced Refuse Rate Application - Borough of Emmaus, Pennsylvania, Page 11

    11

  • Low Income Reduced Refuse Rate Application - Borough of Emmaus, Pennsylvania, Page 12

    12

  • Low Income Reduced Refuse Rate Application - Borough of Emmaus, Pennsylvania, Page 1
  • Low Income Reduced Refuse Rate Application - Borough of Emmaus, Pennsylvania, Page 2
  • Low Income Reduced Refuse Rate Application - Borough of Emmaus, Pennsylvania, Page 3
  • Low Income Reduced Refuse Rate Application - Borough of Emmaus, Pennsylvania, Page 4
  • Low Income Reduced Refuse Rate Application - Borough of Emmaus, Pennsylvania, Page 5
  • Low Income Reduced Refuse Rate Application - Borough of Emmaus, Pennsylvania, Page 6
  • Low Income Reduced Refuse Rate Application - Borough of Emmaus, Pennsylvania, Page 7
  • Low Income Reduced Refuse Rate Application - Borough of Emmaus, Pennsylvania, Page 8
  • Low Income Reduced Refuse Rate Application - Borough of Emmaus, Pennsylvania, Page 9
  • Low Income Reduced Refuse Rate Application - Borough of Emmaus, Pennsylvania, Page 10
  • Low Income Reduced Refuse Rate Application - Borough of Emmaus, Pennsylvania, Page 11
  • Low Income Reduced Refuse Rate Application - Borough of Emmaus, Pennsylvania, Page 12
Prev 1 2 3 4 5 ... 12 Next
ADVERTISEMENT

Related Documents