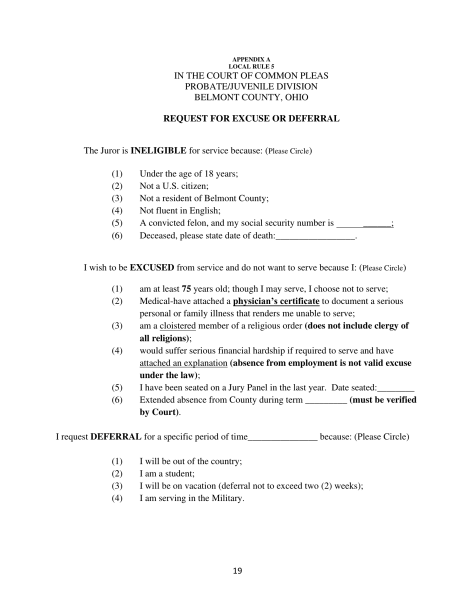
Appendix A Request for Excuse or Deferral - Belmont County, Ohio

Appendix A Request for Excuse or Deferral - Belmont County, Ohio

What Is Appendix A?

This is a legal form that was released by the Common Pleas Court - Belmont County, Ohio - a government authority operating within Ohio. The form may be used strictly within Belmont County. As of today, no separate filing guidelines for the form are provided by the issuing department.

FAQ

Q: What is Appendix A?
A: Appendix A is the Request for Excuse or Deferral form in Belmont County, Ohio.

Q: What is the purpose of Appendix A?
A: The purpose of Appendix A is to request for an excuse or deferral in Belmont County, Ohio.

Q: Who can use Appendix A?
A: Anyone in Belmont County, Ohio who needs to request for an excuse or deferral can use Appendix A.

Q: What information do I need to provide in Appendix A?
A: You need to provide your personal information, reason for requesting the excuse or deferral, and any supporting documentation, if required, in Appendix A.

Q: How do I submit Appendix A?
A: You can submit Appendix A by mailing it to the appropriate office or by following the instructions provided on the form.

Q: Is there a deadline to submit Appendix A?
A: Yes, there may be a deadline to submit Appendix A. Check the instructions or contact the office for more information.

Q: What happens after I submit Appendix A?
A: The office will review your request and inform you of their decision.

Q: Can my excuse or deferral request be denied?
A: Yes, it is possible for your excuse or deferral request to be denied. The office will provide you with their decision.

Q: Can I appeal if my excuse or deferral request is denied?
A: It depends on the county's policies. Contact the office for information on the appeals process, if available.

ADVERTISEMENT

Form Details:

  • The latest edition provided by the Common Pleas Court - Belmont County, Ohio;
  • Easy to use and ready to print;
  • Quick to customize;
  • Compatible with most PDF-viewing applications;
  • Fill out the form in our online filing application.

Download a printable version of Appendix A by clicking the link below or browse more documents and templates provided by the Common Pleas Court - Belmont County, Ohio.

Download Appendix A Request for Excuse or Deferral - Belmont County, Ohio

4.8 of 5 (18 votes)
  • Appendix A Request for Excuse or Deferral - Belmont County, Ohio

    1

  • Appendix A Request for Excuse or Deferral - Belmont County, Ohio, Page 2

    2

  • Appendix A Request for Excuse or Deferral - Belmont County, Ohio, Page 3

    3

  • Appendix A Request for Excuse or Deferral - Belmont County, Ohio, Page 4

    4

  • Appendix A Request for Excuse or Deferral - Belmont County, Ohio, Page 5

    5

  • Appendix A Request for Excuse or Deferral - Belmont County, Ohio, Page 6

    6

  • Appendix A Request for Excuse or Deferral - Belmont County, Ohio, Page 7

    7

  • Appendix A Request for Excuse or Deferral - Belmont County, Ohio, Page 8

    8

  • Appendix A Request for Excuse or Deferral - Belmont County, Ohio, Page 9

    9

  • Appendix A Request for Excuse or Deferral - Belmont County, Ohio, Page 1
  • Appendix A Request for Excuse or Deferral - Belmont County, Ohio, Page 2
  • Appendix A Request for Excuse or Deferral - Belmont County, Ohio, Page 3
  • Appendix A Request for Excuse or Deferral - Belmont County, Ohio, Page 4
  • Appendix A Request for Excuse or Deferral - Belmont County, Ohio, Page 5
  • Appendix A Request for Excuse or Deferral - Belmont County, Ohio, Page 6
  • Appendix A Request for Excuse or Deferral - Belmont County, Ohio, Page 7
  • Appendix A Request for Excuse or Deferral - Belmont County, Ohio, Page 8
  • Appendix A Request for Excuse or Deferral - Belmont County, Ohio, Page 9
Prev 1 2 3 4 5 ... 9 Next
ADVERTISEMENT