Municipal Job Creation Tax Credit Application - City of Toledo, Ohio

Municipal Job Creation Tax Credit Application - City of Toledo, Ohio

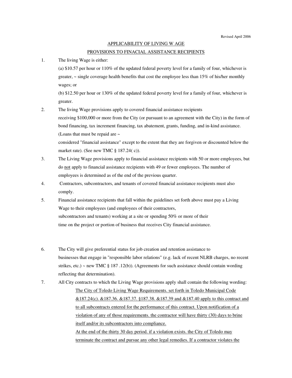
Municipal Tax Credit Application is a legal document that was released by the Department of Finance - City of Toledo, Ohio - a government authority operating within Ohio. The form may be used strictly within City of Toledo.

FAQ

Q: What is the Municipal Job Creation Tax Credit Application?
A: The Municipal Job Creation Tax Credit Application is a form used by businesses in Toledo, Ohio to apply for tax credits based on job creation.

Q: Who can apply for the Municipal Job Creation Tax Credit?
A: Businesses operating in Toledo, Ohio can apply for the Municipal Job Creation Tax Credit.

Q: What is the purpose of the tax credit?
A: The tax credit is designed to incentivize businesses to create jobs in Toledo, Ohio.

Q: How does the tax credit work?
A: The tax credit provides a financial incentive to businesses by allowing them to reduce their tax liability based on the number of jobs they create.

Q: What are the eligibility criteria for the tax credit?
A: Eligibility criteria include creating a minimum number of jobs, meeting wage requirements, and complying with certain reporting requirements.

Q: What supporting documents are required with the application?
A: Supporting documents typically include proof of job creation, payroll records, and any relevant financial statements.

Q: Is there a deadline for submitting the application?
A: Yes, there is usually a deadline for submitting the Municipal Job Creation Tax Credit Application. It is important to check the specific deadline each year.

ADVERTISEMENT

Form Details:

  • The latest edition currently provided by the Department of Finance - City of Toledo, Ohio;
  • Ready to use and print;
  • Easy to customize;
  • Compatible with most PDF-viewing applications;
  • Fill out the form in our online filing application.

Download a printable version of the form by clicking the link below or browse more documents and templates provided by the Department of Finance - City of Toledo, Ohio.

Download Municipal Job Creation Tax Credit Application - City of Toledo, Ohio

4.4 of 5 (13 votes)
  • Municipal Job Creation Tax Credit Application - City of Toledo, Ohio

    1

  • Municipal Job Creation Tax Credit Application - City of Toledo, Ohio, Page 2

    2

  • Municipal Job Creation Tax Credit Application - City of Toledo, Ohio, Page 3

    3

  • Municipal Job Creation Tax Credit Application - City of Toledo, Ohio, Page 4

    4

  • Municipal Job Creation Tax Credit Application - City of Toledo, Ohio, Page 5

    5

  • Municipal Job Creation Tax Credit Application - City of Toledo, Ohio, Page 6

    6

  • Municipal Job Creation Tax Credit Application - City of Toledo, Ohio, Page 7

    7

  • Municipal Job Creation Tax Credit Application - City of Toledo, Ohio, Page 8

    8

  • Municipal Job Creation Tax Credit Application - City of Toledo, Ohio, Page 1
  • Municipal Job Creation Tax Credit Application - City of Toledo, Ohio, Page 2
  • Municipal Job Creation Tax Credit Application - City of Toledo, Ohio, Page 3
  • Municipal Job Creation Tax Credit Application - City of Toledo, Ohio, Page 4
  • Municipal Job Creation Tax Credit Application - City of Toledo, Ohio, Page 5
  • Municipal Job Creation Tax Credit Application - City of Toledo, Ohio, Page 6
  • Municipal Job Creation Tax Credit Application - City of Toledo, Ohio, Page 7
  • Municipal Job Creation Tax Credit Application - City of Toledo, Ohio, Page 8
Prev 1 2 3 4 5 ... 8 Next
ADVERTISEMENT