Form 10.01-Q Dating Violence Civil Protection Order (Dtcpo) Ex Parte - Franklin County, Ohio

Form 10.01-Q Dating Violence Civil Protection Order (Dtcpo) Ex Parte - Franklin County, Ohio

What Is Form 10.01-Q?

This is a legal form that was released by the Court of Common Pleas - Franklin County, Ohio - a government authority operating within Ohio. The form may be used strictly within Franklin County. As of today, no separate filing guidelines for the form are provided by the issuing department.

FAQ

Q: What is Form 10.01-Q?
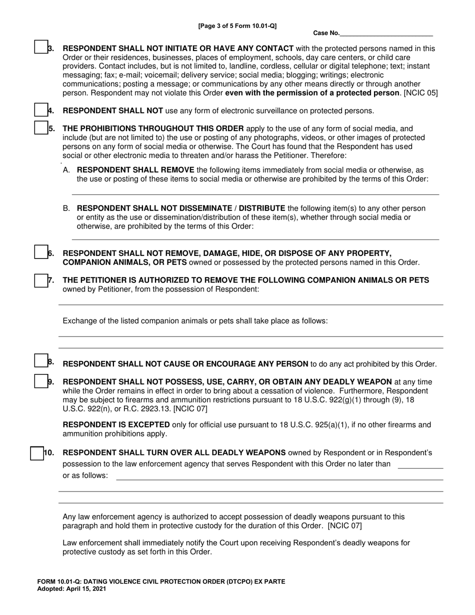
A: Form 10.01-Q is a document specifically used in Franklin County, Ohio for obtaining a Dating ViolenceCivil Protection Order (DTCPA) on an emergency basis, known as ex parte.

Q: What is a Dating Violence Civil Protection Order (DTCPA)?
A: A Dating Violence Civil Protection Order (DTCPA) is a legal document that provides protection to victims of dating violence.

Q: What does 'ex parte' mean?
A: 'Ex parte' means that the order is granted without requiring the presence or participation of the other party involved.

Q: Who can use Form 10.01-Q?
A: Form 10.01-Q is specifically designed for individuals in Franklin County, Ohio who are seeking a Dating Violence Civil Protection Order (DTCPA) on an emergency basis.

Q: What is the purpose of Form 10.01-Q?
A: Form 10.01-Q is used to request immediate protection from dating violence and to initiate the legal process for obtaining a Dating Violence Civil Protection Order (DTCPA).

Q: What information is required in Form 10.01-Q?
A: Form 10.01-Q requires information such as details of the parties involved, incidents of dating violence, and the reasons for seeking the protection order.

Q: What should I do after completing Form 10.01-Q?
A: After completing Form 10.01-Q, you should file it with the appropriate court in Franklin County, Ohio and await further instructions from the court.

Q: Can I get legal assistance for completing Form 10.01-Q?
A: Yes, you have the option to seek legal assistance from an attorney or contact local organizations that provide support for victims of dating violence.

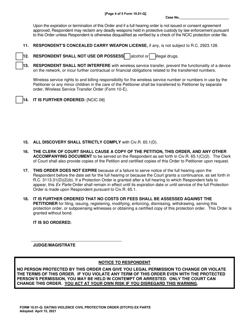
Q: What happens after a Dating Violence Civil Protection Order (DTCPA) is issued?
A: Once a Dating Violence Civil Protection Order (DTCPA) is issued, the court can enforce the order, and violations may lead to legal consequences for the person who violates the order.

ADVERTISEMENT

Form Details:

  • Released on April 15, 2021;
  • The latest edition provided by the Court of Common Pleas - Franklin County, Ohio;
  • Easy to use and ready to print;
  • Quick to customize;
  • Compatible with most PDF-viewing applications;
  • Fill out the form in our online filing application.

Download a fillable version of Form 10.01-Q by clicking the link below or browse more documents and templates provided by the Court of Common Pleas - Franklin County, Ohio.

Download Form 10.01-Q Dating Violence Civil Protection Order (Dtcpo) Ex Parte - Franklin County, Ohio

4.6 of 5 (35 votes)
  • Form 10.01-Q Dating Violence Civil Protection Order (Dtcpo) Ex Parte - Franklin County, Ohio

    1

  • Form 10.01-Q Dating Violence Civil Protection Order (Dtcpo) Ex Parte - Franklin County, Ohio, Page 2

    2

  • Form 10.01-Q Dating Violence Civil Protection Order (Dtcpo) Ex Parte - Franklin County, Ohio, Page 3

    3

  • Form 10.01-Q Dating Violence Civil Protection Order (Dtcpo) Ex Parte - Franklin County, Ohio, Page 4

    4

  • Form 10.01-Q Dating Violence Civil Protection Order (Dtcpo) Ex Parte - Franklin County, Ohio, Page 5

    5

  • Form 10.01-Q Dating Violence Civil Protection Order (Dtcpo) Ex Parte - Franklin County, Ohio, Page 1
  • Form 10.01-Q Dating Violence Civil Protection Order (Dtcpo) Ex Parte - Franklin County, Ohio, Page 2
  • Form 10.01-Q Dating Violence Civil Protection Order (Dtcpo) Ex Parte - Franklin County, Ohio, Page 3
  • Form 10.01-Q Dating Violence Civil Protection Order (Dtcpo) Ex Parte - Franklin County, Ohio, Page 4
  • Form 10.01-Q Dating Violence Civil Protection Order (Dtcpo) Ex Parte - Franklin County, Ohio, Page 5
Prev 1 2 3 4 5 Next
ADVERTISEMENT

Related Documents