Air Pollution Control Act Compliance Review Form - City of Philadelphia, Pennsylvania

Notification Icon This version of the form is not currently in use and is provided for reference only. Download this version of the document for the current year.

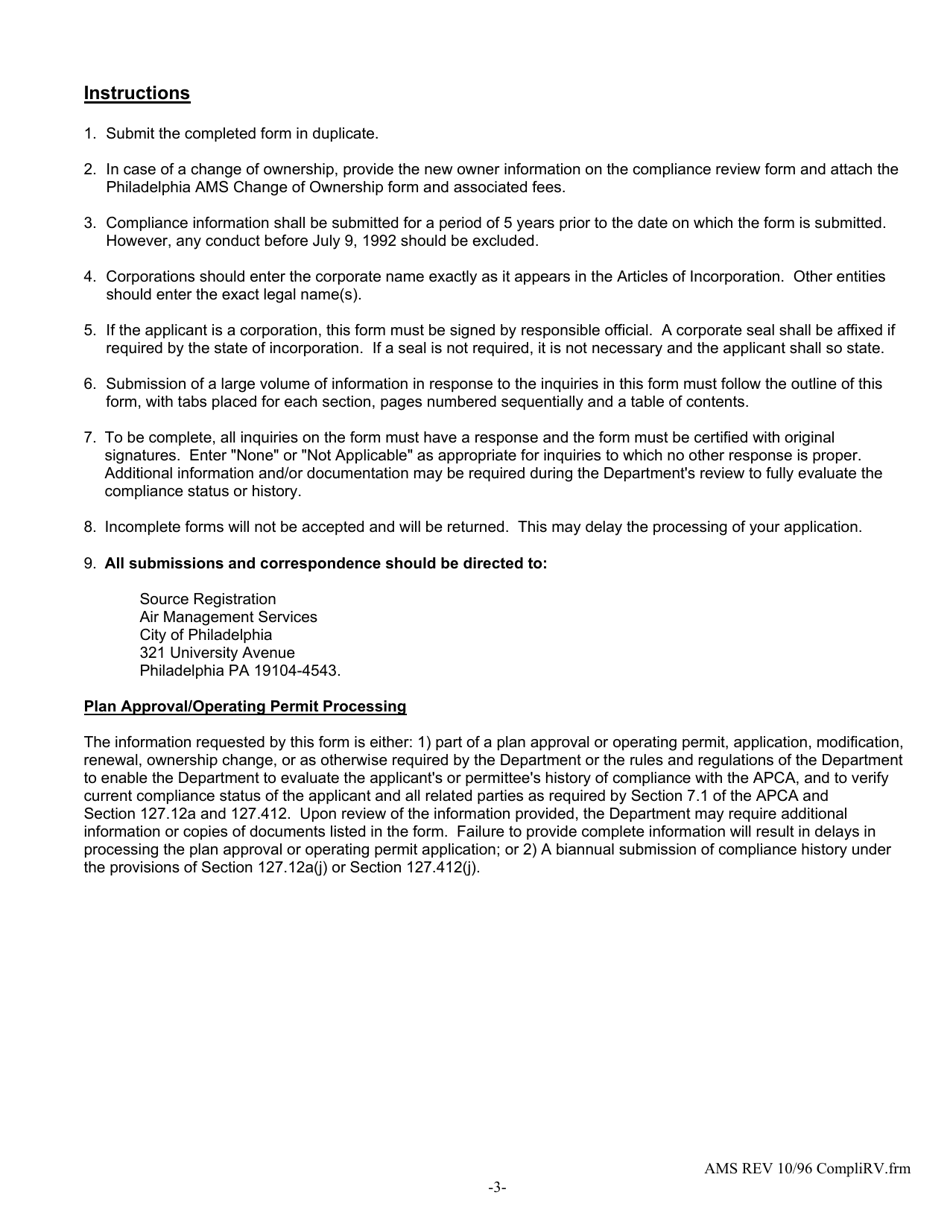
Air Pollution Control Act Compliance Review Form - City of Philadelphia, Pennsylvania

Air Compliance Review Form is a legal document that was released by the Department of Public Health - City of Philadelphia, Pennsylvania - a government authority operating within Pennsylvania. The form may be used strictly within City of Philadelphia.

FAQ

Q: What is the Air Pollution Control Act Compliance Review Form?
A: The Air Pollution Control Act Compliance Review Form is a document used by the City of Philadelphia, Pennsylvania to assess compliance with air pollution control regulations.

Q: Why is the City of Philadelphia using this form?
A: The City of Philadelphia uses this form to ensure that businesses and facilities within the city are meeting air pollution control regulations.

Q: Who is required to fill out this form?
A: Businesses and facilities in Philadelphia that have the potential to generate air pollution are required to fill out this form.

Q: What information does the form ask for?
A: The form asks for information about the type of business or facility, the types of activities that can generate air pollution, and the measures in place to control and minimize pollution.

Q: Is there a penalty for non-compliance?
A: Yes, there can be penalties for non-compliance with air pollution control regulations, including fines and other enforcement actions.

ADVERTISEMENT

Form Details:

  • Released on October 1, 1996;
  • The latest edition currently provided by the Department of Public Health - City of Philadelphia, Pennsylvania;
  • Ready to use and print;
  • Easy to customize;
  • Compatible with most PDF-viewing applications;
  • Fill out the form in our online filing application.

Download a fillable version of the form by clicking the link below or browse more documents and templates provided by the Department of Public Health - City of Philadelphia, Pennsylvania.

Download Air Pollution Control Act Compliance Review Form - City of Philadelphia, Pennsylvania

4.3 of 5 (18 votes)
  • Air Pollution Control Act Compliance Review Form - City of Philadelphia, Pennsylvania

    1

  • Air Pollution Control Act Compliance Review Form - City of Philadelphia, Pennsylvania, Page 2

    2

  • Air Pollution Control Act Compliance Review Form - City of Philadelphia, Pennsylvania, Page 3

    3

  • Air Pollution Control Act Compliance Review Form - City of Philadelphia, Pennsylvania, Page 4

    4

  • Air Pollution Control Act Compliance Review Form - City of Philadelphia, Pennsylvania, Page 5

    5

  • Air Pollution Control Act Compliance Review Form - City of Philadelphia, Pennsylvania, Page 6

    6

  • Air Pollution Control Act Compliance Review Form - City of Philadelphia, Pennsylvania, Page 1
  • Air Pollution Control Act Compliance Review Form - City of Philadelphia, Pennsylvania, Page 2
  • Air Pollution Control Act Compliance Review Form - City of Philadelphia, Pennsylvania, Page 3
  • Air Pollution Control Act Compliance Review Form - City of Philadelphia, Pennsylvania, Page 4
  • Air Pollution Control Act Compliance Review Form - City of Philadelphia, Pennsylvania, Page 5
  • Air Pollution Control Act Compliance Review Form - City of Philadelphia, Pennsylvania, Page 6
Prev 1 2 3 4 5 6 Next
ADVERTISEMENT