Paint Stripping and Miscellaneous Surface Coating Initial Notification Form (For Subpart 6h) - City of Philadelphia, Pennsylvania

Paint Stripping and Miscellaneous Surface Coating Initial Notification Form (For Subpart 6h) - City of Philadelphia, Pennsylvania

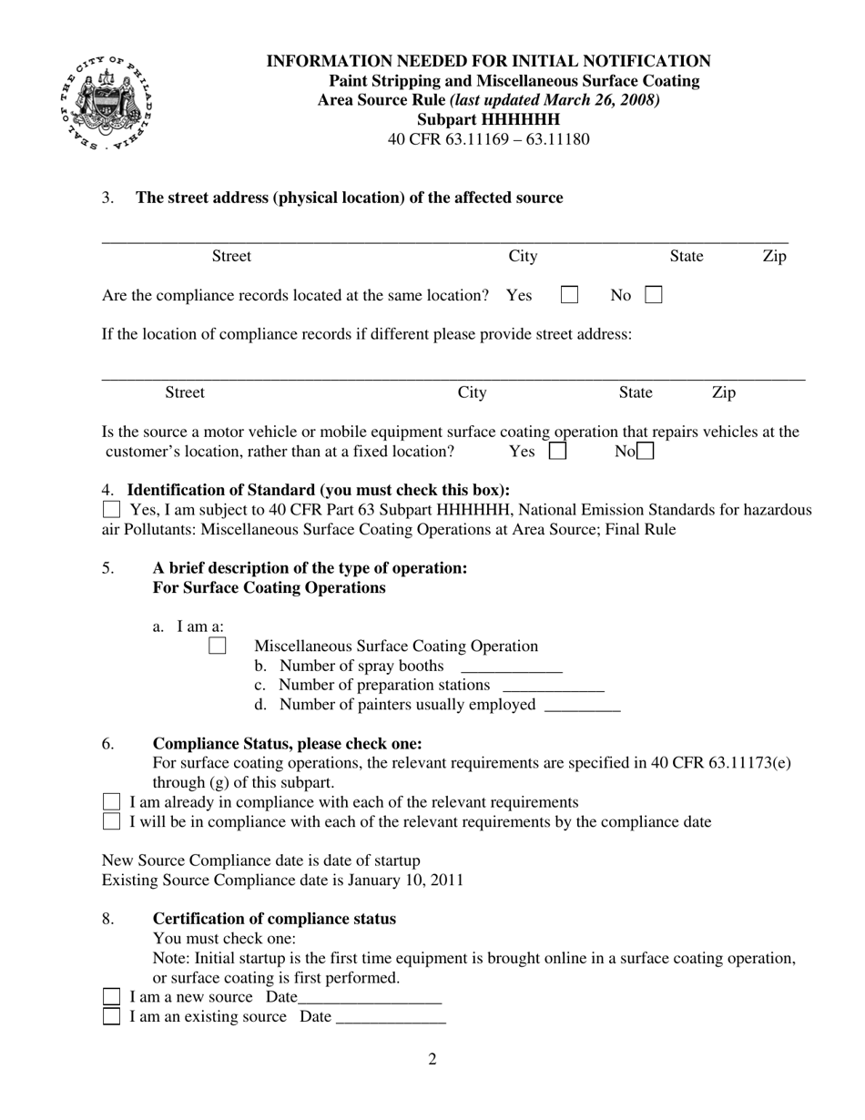
Paint Stripping and Miscellaneous Surface Coating Initial Notification Form (For Subpart 6h) is a legal document that was released by the Department of Public Health - City of Philadelphia, Pennsylvania - a government authority operating within Pennsylvania. The form may be used strictly within City of Philadelphia.

FAQ

Q: What is the purpose of the Paint Stripping and Miscellaneous Surface Coating Initial Notification form?
A: The form is used to notify the City of Philadelphia, Pennsylvania about paint stripping and surface coating activities.

Q: Which subpart does this form pertain to?
A: This form is for Subpart 6h.

Q: Who needs to fill out this form?
A: Anyone conducting paint stripping and surface coating activities in the City of Philadelphia.

Q: What information is required on the form?
A: The form requires details about the facility, the types of surface coating operations, and information about the chemicals used.

Q: Is this form specific to the City of Philadelphia?
A: Yes, this form is specific to the City of Philadelphia, Pennsylvania.

Q: What should I do after submitting the form?
A: After submitting the form, you may need to comply with additional requirements, such as obtaining permits or implementing pollution control measures. It is advisable to contact the relevant department for further instructions.

Q: Are there any fees associated with submitting this form?
A: Yes, there may be fees associated with submitting this form. Contact the relevant department for more information.

Q: What happens if I do not submit this form?
A: Failure to submit this form may result in non-compliance with local regulations and possible penalties or fines.

Q: Is this form required for both residential and commercial properties?
A: Yes, this form is required for both residential and commercial properties where paint stripping and surface coating activities are conducted.

ADVERTISEMENT

Form Details:

  • The latest edition currently provided by the Department of Public Health - City of Philadelphia, Pennsylvania;
  • Ready to use and print;
  • Easy to customize;
  • Compatible with most PDF-viewing applications;
  • Fill out the form in our online filing application.

Download a printable version of the form by clicking the link below or browse more documents and templates provided by the Department of Public Health - City of Philadelphia, Pennsylvania.

Download Paint Stripping and Miscellaneous Surface Coating Initial Notification Form (For Subpart 6h) - City of Philadelphia, Pennsylvania

4.7 of 5 (21 votes)
  • Paint Stripping and Miscellaneous Surface Coating Initial Notification Form (For Subpart 6h) - City of Philadelphia, Pennsylvania

    1

  • Paint Stripping and Miscellaneous Surface Coating Initial Notification Form (For Subpart 6h) - City of Philadelphia, Pennsylvania, Page 2

    2

  • Paint Stripping and Miscellaneous Surface Coating Initial Notification Form (For Subpart 6h) - City of Philadelphia, Pennsylvania, Page 3

    3

  • Paint Stripping and Miscellaneous Surface Coating Initial Notification Form (For Subpart 6h) - City of Philadelphia, Pennsylvania, Page 1
  • Paint Stripping and Miscellaneous Surface Coating Initial Notification Form (For Subpart 6h) - City of Philadelphia, Pennsylvania, Page 2
  • Paint Stripping and Miscellaneous Surface Coating Initial Notification Form (For Subpart 6h) - City of Philadelphia, Pennsylvania, Page 3
Prev 1 2 3 Next
ADVERTISEMENT