Form CC233 Statement of Abandonment of Use of Fictitious Business Name - County of San Diego, California

Notification Icon This version of the form is not currently in use and is provided for reference only. Download this version of Form CC233 for the current year.

Form CC233 Statement of Abandonment of Use of Fictitious Business Name - County of San Diego, California

What Is Form CC233?

This is a legal form that was released by the Assessor, Recorder, County Clerk's Office - County of San Diego, California - a government authority operating within California. The form may be used strictly within County of San Diego. As of today, no separate filing guidelines for the form are provided by the issuing department.

FAQ

Q: What is Form CC233?
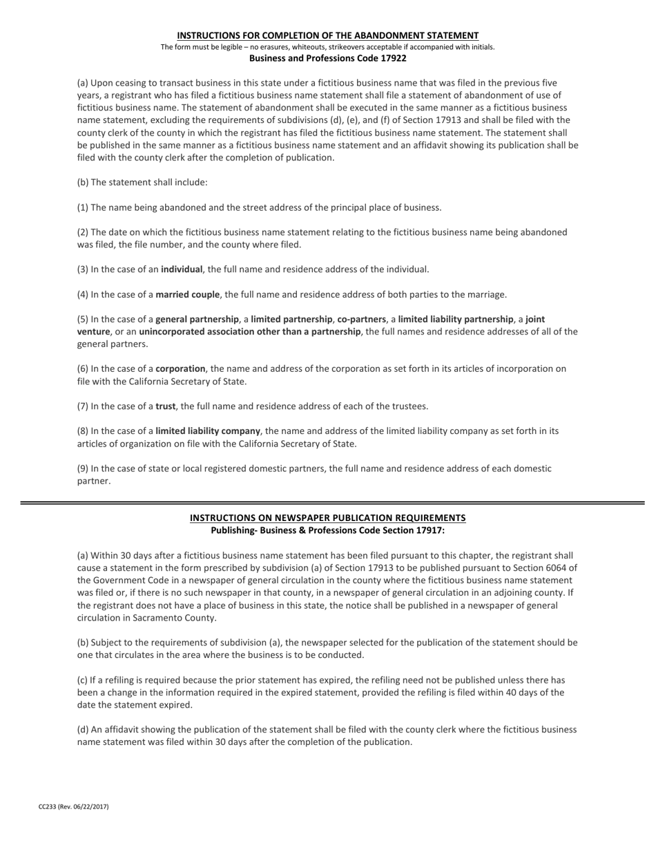
A: Form CC233 is the Statement of Abandonment of Use of Fictitious Business Name.

Q: What is the purpose of Form CC233?
A: The purpose of Form CC233 is to formally abandon the use of a fictitious business name.

Q: Who should use Form CC233?
A: Any individual or business entity that wants to abandon a fictitious business name in San Diego County, California should use Form CC233.

Q: Are there any fees associated with Form CC233?
A: No, there are no fees associated with Form CC233.

ADVERTISEMENT

Form Details:

  • Released on June 22, 2017;
  • The latest edition provided by the Assessor, Recorder, County Clerk's Office - County of San Diego, California;
  • Easy to use and ready to print;
  • Quick to customize;
  • Compatible with most PDF-viewing applications;
  • Fill out the form in our online filing application.

Download a fillable version of Form CC233 by clicking the link below or browse more documents and templates provided by the Assessor, Recorder, County Clerk's Office - County of San Diego, California.

Download Form CC233 Statement of Abandonment of Use of Fictitious Business Name - County of San Diego, California

4.6 of 5 (18 votes)
  • Form CC233 Statement of Abandonment of Use of Fictitious Business Name - County of San Diego, California

    1

  • Form CC233 Statement of Abandonment of Use of Fictitious Business Name - County of San Diego, California, Page 2

    2

  • Form CC233 Statement of Abandonment of Use of Fictitious Business Name - County of San Diego, California, Page 1
  • Form CC233 Statement of Abandonment of Use of Fictitious Business Name - County of San Diego, California, Page 2
Prev 1 2 Next
ADVERTISEMENT