Monthly Oil and Gas Production Report and Crown Royalty Statement - Manitoba, Canada

Monthly Oil and Gas Production Report and Crown Royalty Statement - Manitoba, Canada

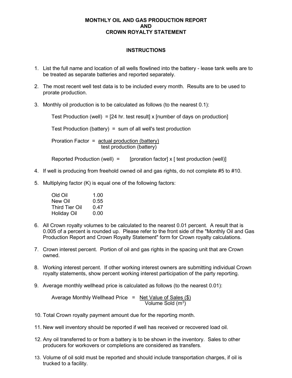
The Monthly Oil and Gas Production Report and Crown Royalty Statement in Manitoba, Canada is used to track and monitor the production of oil and gas resources in the province. It also serves to calculate the royalties owed to the government by the companies involved in extraction and production.

The monthly Oil and Gas Production Report and Crown Royalty Statement in Manitoba, Canada is filed by the operators or producers of oil and gas wells.

FAQ

Q: What is the Monthly Oil and Gas Production Report?
A: The Monthly Oil and Gas Production Report provides information on the amount of oil and gas produced in Manitoba, Canada.

Q: What is the Crown Royalty Statement?
A: The Crown Royalty Statement is a document that provides information on the royalties paid to the government for the extraction of oil and gas.

Q: Who is responsible for submitting the Monthly Oil and Gas Production Report?
A: Oil and gas companies in Manitoba are responsible for submitting the Monthly Oil and Gas Production Report.

Q: Who receives the Crown Royalty Statement?
A: The government of Manitoba receives the Crown Royalty Statement.

Q: What is the purpose of the Crown Royalty Statement?
A: The purpose of the Crown Royalty Statement is to track and report the royalties paid to the government for the extraction of oil and gas.

Q: How often is the Monthly Oil and Gas Production Report submitted?
A: The Monthly Oil and Gas Production Report is submitted on a monthly basis.

Q: What is the importance of the Monthly Oil and Gas Production Report and Crown Royalty Statement?
A: The Monthly Oil and Gas Production Report and Crown Royalty Statement are important for monitoring oil and gas production and ensuring the government receives the appropriate royalties.

ADVERTISEMENT

Download Monthly Oil and Gas Production Report and Crown Royalty Statement - Manitoba, Canada

4.4 of 5 (30 votes)
  • Monthly Oil and Gas Production Report and Crown Royalty Statement - Manitoba, Canada

    1

  • Monthly Oil and Gas Production Report and Crown Royalty Statement - Manitoba, Canada, Page 2

    2

  • Monthly Oil and Gas Production Report and Crown Royalty Statement - Manitoba, Canada, Page 3

    3

  • Monthly Oil and Gas Production Report and Crown Royalty Statement - Manitoba, Canada, Page 1
  • Monthly Oil and Gas Production Report and Crown Royalty Statement - Manitoba, Canada, Page 2
  • Monthly Oil and Gas Production Report and Crown Royalty Statement - Manitoba, Canada, Page 3
Prev 1 2 3 Next
ADVERTISEMENT