Schedule A Gasoline Retailer Tax - Newfoundland and Labrador, Canada

Schedule A Gasoline Retailer Tax - Newfoundland and Labrador, Canada

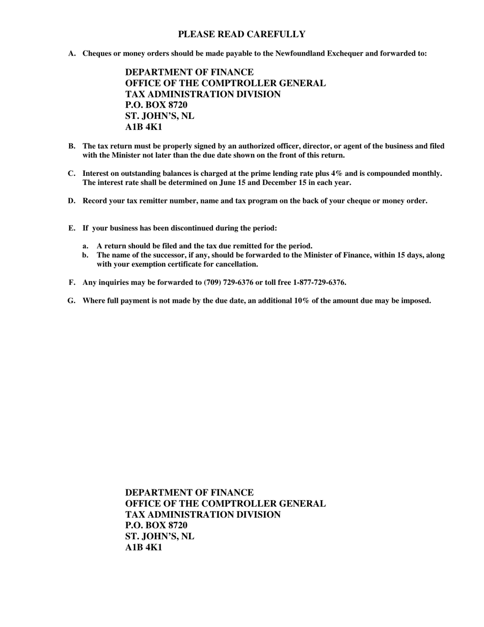
Schedule A Gasoline Retailer Tax in Newfoundland and Labrador, Canada is a tax specifically imposed on gasoline retailers in the province. It is used to generate revenue for the government and support various public services and infrastructure projects.

The Schedule A Gasoline Retailer Tax in Newfoundland and Labrador, Canada is filed by gasoline retailers in that province.

FAQ

Q: What is Schedule A Gasoline Retailer Tax?
A: Schedule A Gasoline Retailer Tax is a tax imposed on gasoline retailers in Newfoundland and Labrador, Canada.

Q: Who is required to pay Schedule A Gasoline Retailer Tax?
A: Gasoline retailers are required to pay Schedule A Gasoline Retailer Tax.

Q: What is the purpose of Schedule A Gasoline Retailer Tax?
A: The purpose of Schedule A Gasoline Retailer Tax is to generate revenue for the government and help fund infrastructure projects.

Q: How is Schedule A Gasoline Retailer Tax calculated?
A: Schedule A Gasoline Retailer Tax is calculated based on the volume of gasoline sold by retailers.

Q: Are there any exemptions or deductions for Schedule A Gasoline Retailer Tax?
A: There are no specific exemptions or deductions available for Schedule A Gasoline Retailer Tax.

Q: Is Schedule A Gasoline Retailer Tax the same across all provinces in Canada?
A: No, Schedule A Gasoline Retailer Tax may vary across different provinces in Canada. This information specifically pertains to Newfoundland and Labrador.

ADVERTISEMENT

Download Schedule A Gasoline Retailer Tax - Newfoundland and Labrador, Canada

4.8 of 5 (5 votes)
  • Schedule A Gasoline Retailer Tax - Newfoundland and Labrador, Canada

    1

  • Schedule A Gasoline Retailer Tax - Newfoundland and Labrador, Canada, Page 2

    2

  • Schedule A Gasoline Retailer Tax - Newfoundland and Labrador, Canada, Page 3

    3

  • Schedule A Gasoline Retailer Tax - Newfoundland and Labrador, Canada, Page 4

    4

  • Schedule A Gasoline Retailer Tax - Newfoundland and Labrador, Canada, Page 5

    5

  • Schedule A Gasoline Retailer Tax - Newfoundland and Labrador, Canada, Page 6

    6

  • Schedule A Gasoline Retailer Tax - Newfoundland and Labrador, Canada, Page 1
  • Schedule A Gasoline Retailer Tax - Newfoundland and Labrador, Canada, Page 2
  • Schedule A Gasoline Retailer Tax - Newfoundland and Labrador, Canada, Page 3
  • Schedule A Gasoline Retailer Tax - Newfoundland and Labrador, Canada, Page 4
  • Schedule A Gasoline Retailer Tax - Newfoundland and Labrador, Canada, Page 5
  • Schedule A Gasoline Retailer Tax - Newfoundland and Labrador, Canada, Page 6
Prev 1 2 3 4 5 6 Next
ADVERTISEMENT

Related Documents