Application for Commercial Aquatic Turtle Harvester License - Oklahoma

Notification Icon This version of the form is not currently in use and is provided for reference only. Download this version of the document for the current year.

Application for Commercial Aquatic Turtle Harvester License - Oklahoma

Application for Commercial Aquatic Turtle Harvester License is a legal document that was released by the Oklahoma Department of Wildlife Conservation - a government authority operating within Oklahoma.

FAQ

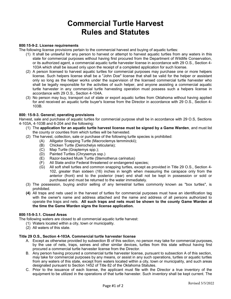
Q: What is a Commercial Aquatic Turtle Harvester License?
A: A Commercial Aquatic Turtle Harvester License is a license required for individuals or businesses to harvest and sell aquatic turtles in Oklahoma.

Q: How do I apply for a Commercial Aquatic Turtle Harvester License in Oklahoma?
A: To apply for a Commercial Aquatic Turtle Harvester License in Oklahoma, you need to complete an application form and submit it to the Oklahoma Department of Wildlife Conservation.

Q: What are the requirements to obtain a Commercial Aquatic Turtle Harvester License?
A: The requirements to obtain a Commercial Aquatic Turtle Harvester License in Oklahoma may include being at least 18 years old, completing a safety course, and paying the required fees.

Q: How much does a Commercial Aquatic Turtle Harvester License cost?
A: The cost of a Commercial Aquatic Turtle Harvester License in Oklahoma varies depending on the type of license, but it can range from around $75 to $300.

Q: What activities are allowed with a Commercial Aquatic Turtle Harvester License?
A: With a Commercial Aquatic Turtle Harvester License, individuals or businesses are allowed to legally harvest and sell aquatic turtles in Oklahoma.

Q: Are there any restrictions or regulations associated with a Commercial Aquatic Turtle Harvester License?
A: Yes, there are restrictions and regulations associated with a Commercial Aquatic Turtle Harvester License. These can include limits on the number and size of turtles that can be harvested, as well as restrictions on harvesting certain species.

Q: Are there any specific seasons or timeframes for harvesting aquatic turtles in Oklahoma?
A: Yes, there are specific seasons and timeframes for harvesting aquatic turtles in Oklahoma. These may vary depending on the species of turtle and can be subject to change, so it is important to stay updated on the current regulations.

ADVERTISEMENT

Form Details:

  • Released on May 5, 2022;
  • The latest edition currently provided by the Oklahoma Department of Wildlife Conservation;
  • Ready to use and print;
  • Easy to customize;
  • Compatible with most PDF-viewing applications;
  • Fill out the form in our online filing application.

Download a printable version of the form by clicking the link below or browse more documents and templates provided by the Oklahoma Department of Wildlife Conservation.

Download Application for Commercial Aquatic Turtle Harvester License - Oklahoma

4.5 of 5 (15 votes)
  • Application for Commercial Aquatic Turtle Harvester License - Oklahoma

    1

  • Application for Commercial Aquatic Turtle Harvester License - Oklahoma, Page 2

    2

  • Application for Commercial Aquatic Turtle Harvester License - Oklahoma, Page 3

    3

  • Application for Commercial Aquatic Turtle Harvester License - Oklahoma, Page 4

    4

  • Application for Commercial Aquatic Turtle Harvester License - Oklahoma, Page 5

    5

  • Application for Commercial Aquatic Turtle Harvester License - Oklahoma, Page 6

    6

  • Application for Commercial Aquatic Turtle Harvester License - Oklahoma, Page 1
  • Application for Commercial Aquatic Turtle Harvester License - Oklahoma, Page 2
  • Application for Commercial Aquatic Turtle Harvester License - Oklahoma, Page 3
  • Application for Commercial Aquatic Turtle Harvester License - Oklahoma, Page 4
  • Application for Commercial Aquatic Turtle Harvester License - Oklahoma, Page 5
  • Application for Commercial Aquatic Turtle Harvester License - Oklahoma, Page 6
Prev 1 2 3 4 5 6 Next
ADVERTISEMENT