Suitability Application for Acquisition of Ownership Interest in Gaming Facility - Rhode Island

Suitability Application for Acquisition of Ownership Interest in Gaming Facility - Rhode Island

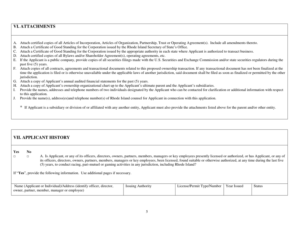
Suitability Application for Acquisition of Ownership Interest in Gaming Facility is a legal document that was released by the Rhode Island Department of Business Regulation - a government authority operating within Rhode Island.

FAQ

Q: What is the suitability application for acquisition of ownership interest in a gaming facility in Rhode Island?
A: Suitability application for acquisition of ownership interest is a process in which individuals or entities interested in acquiring ownership interest in a gaming facility in Rhode Island need to submit an application and undergo a thorough evaluation to determine if they meet the suitability requirements set by the Rhode Island gaming authority.

Q: Who needs to submit a suitability application for acquisition of ownership interest in a gaming facility in Rhode Island?
A: Individuals or entities interested in acquiring ownership interest in a gaming facility in Rhode Island need to submit a suitability application for acquisition of ownership interest.

Q: What is the purpose of the suitability application?
A: The purpose of the suitability application is to evaluate the individuals or entities seeking ownership interest in a gaming facility to ensure they meet the suitability requirements set by the Rhode Island gaming authority.

Q: What is included in the suitability application?
A: The suitability application typically includes personal and financial information of the applicants, as well as details about their business history and any relevant criminal or regulatory records.

Q: What happens after submitting the suitability application?
A: After submitting the suitability application, the applicant undergoes a thorough background check and investigation by the Rhode Island gaming authority. The authority assesses the applicant's suitability based on factors such as integrity, financial stability, and adherence to gaming regulations.

Q: What are the potential outcomes of the suitability application?
A: The potential outcomes of the suitability application include approval of ownership interest, conditional approval with certain requirements, or denial of the application based on the findings of the investigation.

Q: How long does the suitability application process take?
A: The suitability application process can vary in duration, but it typically takes several months to complete. The timeline depends on the complexity of the application and the thoroughness of the background investigation.

Q: What happens if an applicant is denied approval for ownership interest?
A: If an applicant is denied approval for ownership interest, they may have the right to appeal the decision or seek clarification on the reasons for denial. They may also have the option to submit a new application in the future, addressing any issues identified in the initial application.

ADVERTISEMENT

Form Details:

  • The latest edition currently provided by the Rhode Island Department of Business Regulation;
  • Ready to use and print;
  • Easy to customize;
  • Compatible with most PDF-viewing applications;
  • Fill out the form in our online filing application.

Download a printable version of the form by clicking the link below or browse more documents and templates provided by the Rhode Island Department of Business Regulation.

Download Suitability Application for Acquisition of Ownership Interest in Gaming Facility - Rhode Island

4.3 of 5 (23 votes)
  • Suitability Application for Acquisition of Ownership Interest in Gaming Facility - Rhode Island

    1

  • Suitability Application for Acquisition of Ownership Interest in Gaming Facility - Rhode Island, Page 2

    2

  • Suitability Application for Acquisition of Ownership Interest in Gaming Facility - Rhode Island, Page 3

    3

  • Suitability Application for Acquisition of Ownership Interest in Gaming Facility - Rhode Island, Page 4

    4

  • Suitability Application for Acquisition of Ownership Interest in Gaming Facility - Rhode Island, Page 5

    5

  • Suitability Application for Acquisition of Ownership Interest in Gaming Facility - Rhode Island, Page 6

    6

  • Suitability Application for Acquisition of Ownership Interest in Gaming Facility - Rhode Island, Page 7

    7

  • Suitability Application for Acquisition of Ownership Interest in Gaming Facility - Rhode Island, Page 8

    8

  • Suitability Application for Acquisition of Ownership Interest in Gaming Facility - Rhode Island, Page 9

    9

  • Suitability Application for Acquisition of Ownership Interest in Gaming Facility - Rhode Island, Page 10

    10

  • Suitability Application for Acquisition of Ownership Interest in Gaming Facility - Rhode Island, Page 11

    11

  • Suitability Application for Acquisition of Ownership Interest in Gaming Facility - Rhode Island, Page 12

    12

  • Suitability Application for Acquisition of Ownership Interest in Gaming Facility - Rhode Island, Page 13

    13

  • Suitability Application for Acquisition of Ownership Interest in Gaming Facility - Rhode Island, Page 14

    14

  • Suitability Application for Acquisition of Ownership Interest in Gaming Facility - Rhode Island, Page 15

    15

  • Suitability Application for Acquisition of Ownership Interest in Gaming Facility - Rhode Island, Page 1
  • Suitability Application for Acquisition of Ownership Interest in Gaming Facility - Rhode Island, Page 2
  • Suitability Application for Acquisition of Ownership Interest in Gaming Facility - Rhode Island, Page 3
  • Suitability Application for Acquisition of Ownership Interest in Gaming Facility - Rhode Island, Page 4
  • Suitability Application for Acquisition of Ownership Interest in Gaming Facility - Rhode Island, Page 5
  • Suitability Application for Acquisition of Ownership Interest in Gaming Facility - Rhode Island, Page 6
  • Suitability Application for Acquisition of Ownership Interest in Gaming Facility - Rhode Island, Page 7
  • Suitability Application for Acquisition of Ownership Interest in Gaming Facility - Rhode Island, Page 8
  • Suitability Application for Acquisition of Ownership Interest in Gaming Facility - Rhode Island, Page 9
  • Suitability Application for Acquisition of Ownership Interest in Gaming Facility - Rhode Island, Page 10
  • Suitability Application for Acquisition of Ownership Interest in Gaming Facility - Rhode Island, Page 11
  • Suitability Application for Acquisition of Ownership Interest in Gaming Facility - Rhode Island, Page 12
  • Suitability Application for Acquisition of Ownership Interest in Gaming Facility - Rhode Island, Page 13
  • Suitability Application for Acquisition of Ownership Interest in Gaming Facility - Rhode Island, Page 14
  • Suitability Application for Acquisition of Ownership Interest in Gaming Facility - Rhode Island, Page 15
Prev 1 2 3 4 5 ... 15 Next
ADVERTISEMENT