Form PDS-372 Tentative Maps for Major Subdivisions Applicant's Guide - County of San Diego, California

Form PDS-372 Tentative Maps for Major Subdivisions Applicant's Guide - County of San Diego, California

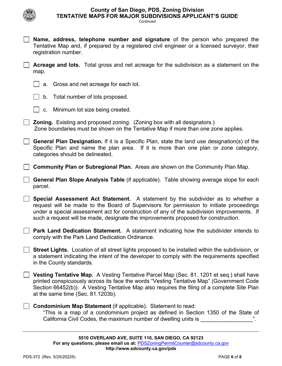
What Is Form PDS-372?

This is a legal form that was released by the Planning and Development Services - County of San Diego, California - a government authority operating within California. The form may be used strictly within County of San Diego. As of today, no separate filing guidelines for the form are provided by the issuing department.

FAQ

Q: What is a tentative map?
A: A tentative map is a map that shows a proposed subdivision of land.

Q: When do I need to submit a tentative map?
A: You need to submit a tentative map when you want to create a major subdivision of land.

Q: Who is the applicant for a tentative map?
A: The applicant is the person or entity who wants to create the subdivision.

Q: What is the process for reviewing a tentative map?
A: The County of San Diego will review the map for compliance with local regulations and will also notify other agencies for their input.

Q: What happens after the review process?
A: After the review process, the County may approve the tentative map, with or without conditions, or deny it.

Q: Are there any fees for submitting a tentative map?
A: Yes, there are fees associated with submitting a tentative map. The exact amount will depend on the size and complexity of the subdivision.

Q: Can I appeal a decision on a tentative map?
A: Yes, if your tentative map is denied or approved with conditions that you disagree with, you can appeal the decision to the County's Board of Supervisors.

Q: What are the next steps after a tentative map is approved?
A: After a tentative map is approved, the applicant can proceed with the final map and other necessary permits and approvals.

ADVERTISEMENT

Form Details:

  • Released on May 25, 2022;
  • The latest edition provided by the Planning and Development Services - County of San Diego, California;
  • Easy to use and ready to print;
  • Quick to customize;
  • Compatible with most PDF-viewing applications;
  • Fill out the form in our online filing application.

Download a printable version of Form PDS-372 by clicking the link below or browse more documents and templates provided by the Planning and Development Services - County of San Diego, California.

Download Form PDS-372 Tentative Maps for Major Subdivisions Applicant's Guide - County of San Diego, California

4.5 of 5 (6 votes)
  • Form PDS-372 Tentative Maps for Major Subdivisions Applicant's Guide - County of San Diego, California

    1

  • Form PDS-372 Tentative Maps for Major Subdivisions Applicant's Guide - County of San Diego, California, Page 2

    2

  • Form PDS-372 Tentative Maps for Major Subdivisions Applicant's Guide - County of San Diego, California, Page 3

    3

  • Form PDS-372 Tentative Maps for Major Subdivisions Applicant's Guide - County of San Diego, California, Page 4

    4

  • Form PDS-372 Tentative Maps for Major Subdivisions Applicant's Guide - County of San Diego, California, Page 5

    5

  • Form PDS-372 Tentative Maps for Major Subdivisions Applicant's Guide - County of San Diego, California, Page 6

    6

  • Form PDS-372 Tentative Maps for Major Subdivisions Applicant's Guide - County of San Diego, California, Page 7

    7

  • Form PDS-372 Tentative Maps for Major Subdivisions Applicant's Guide - County of San Diego, California, Page 8

    8

  • Form PDS-372 Tentative Maps for Major Subdivisions Applicants Guide - County of San Diego, California, Page 1
  • Form PDS-372 Tentative Maps for Major Subdivisions Applicants Guide - County of San Diego, California, Page 2
  • Form PDS-372 Tentative Maps for Major Subdivisions Applicants Guide - County of San Diego, California, Page 3
  • Form PDS-372 Tentative Maps for Major Subdivisions Applicants Guide - County of San Diego, California, Page 4
  • Form PDS-372 Tentative Maps for Major Subdivisions Applicants Guide - County of San Diego, California, Page 5
  • Form PDS-372 Tentative Maps for Major Subdivisions Applicants Guide - County of San Diego, California, Page 6
  • Form PDS-372 Tentative Maps for Major Subdivisions Applicants Guide - County of San Diego, California, Page 7
  • Form PDS-372 Tentative Maps for Major Subdivisions Applicants Guide - County of San Diego, California, Page 8
Prev 1 2 3 4 5 ... 8 Next
ADVERTISEMENT