Rezoning Application - City of Ionia, Michigan

Rezoning Application - City of Ionia, Michigan

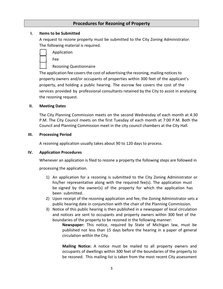
Rezoning Application is a legal document that was released by the Planning and Zoning Department - City of Ionia, Michigan - a government authority operating within Michigan. The form may be used strictly within City of Ionia.

FAQ

Q: What is a rezoning application?
A: A rezoning application is a request to change the zoning designation of a property.

Q: What is zoning?
A: Zoning is a land use control system that divides land into different zones or districts for specific purposes, such as residential, commercial, or industrial.

Q: Why would someone submit a rezoning application?
A: Someone may submit a rezoning application if they want to change the allowed uses or development standards for a specific property.

Q: Who can submit a rezoning application?
A: Property owners or developers typically submit rezoning applications.

Q: What happens after a rezoning application is submitted?
A: The rezoning application goes through a review process, including public hearings and consideration by local government officials.

Q: What factors are considered during the rezoning review process?
A: Factors considered may include the compatibility with surrounding land uses, impact on traffic and infrastructure, and public input.

Q: What is the purpose of public hearings during the rezoning process?
A: Public hearings provide an opportunity for residents and stakeholders to voice their opinions and concerns about the proposed rezoning.

Q: Can the general public provide input during the rezoning process?
A: Yes, the general public is typically given opportunities to provide input through public hearings and written comments.

Q: How long does the rezoning process usually take?
A: The rezoning process timeline can vary, but it generally takes several months from the submission of the application to a final decision.

Q: Who makes the final decision on a rezoning application?
A: The final decision on a rezoning application is typically made by the local government, such as a city council or planning commission.

ADVERTISEMENT

Form Details:

  • The latest edition currently provided by the Planning and Zoning Department - City of Ionia, Michigan;
  • Ready to use and print;
  • Easy to customize;
  • Compatible with most PDF-viewing applications;
  • Fill out the form in our online filing application.

Download a fillable version of the form by clicking the link below or browse more documents and templates provided by the Planning and Zoning Department - City of Ionia, Michigan.

Download Rezoning Application - City of Ionia, Michigan

4.3 of 5 (6 votes)
  • Rezoning Application - City of Ionia, Michigan

    1

  • Rezoning Application - City of Ionia, Michigan, Page 2

    2

  • Rezoning Application - City of Ionia, Michigan, Page 3

    3

  • Rezoning Application - City of Ionia, Michigan, Page 4

    4

  • Rezoning Application - City of Ionia, Michigan, Page 5

    5

  • Rezoning Application - City of Ionia, Michigan, Page 6

    6

  • Rezoning Application - City of Ionia, Michigan, Page 1
  • Rezoning Application - City of Ionia, Michigan, Page 2
  • Rezoning Application - City of Ionia, Michigan, Page 3
  • Rezoning Application - City of Ionia, Michigan, Page 4
  • Rezoning Application - City of Ionia, Michigan, Page 5
  • Rezoning Application - City of Ionia, Michigan, Page 6
Prev 1 2 3 4 5 6 Next
ADVERTISEMENT