Form CE-1186 House Moving License Renewal Application - City of Houston, Texas

Notification Icon This version of the form is not currently in use and is provided for reference only. Download this version of Form CE-1186 for the current year.

Form CE-1186 House Moving License Renewal Application - City of Houston, Texas

What Is Form CE-1186?

This is a legal form that was released by the Public Works Department - City of Houston, Texas - a government authority operating within Texas. The form may be used strictly within City of Houston. As of today, no separate filing guidelines for the form are provided by the issuing department.

FAQ

Q: What is Form CE-1186?
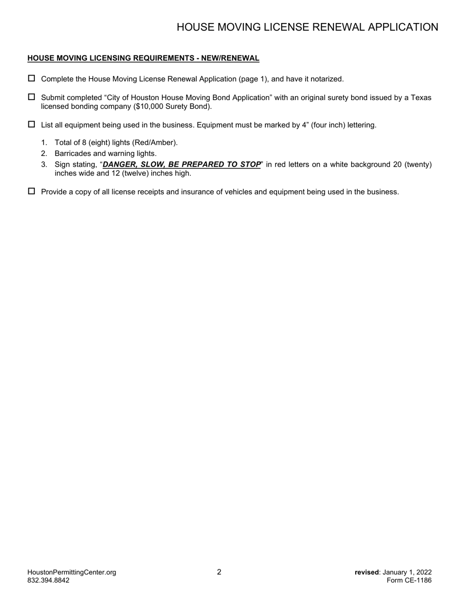
A: Form CE-1186 is a House Moving License Renewal Application.

Q: Who needs to fill out Form CE-1186?
A: House moving companies in Houston, Texas need to fill out Form CE-1186 to renew their license.

Q: What is the purpose of Form CE-1186?
A: The purpose of Form CE-1186 is to apply for the renewal of a house moving license in the City of Houston, Texas.

Q: Do I need to pay a fee to renew my house moving license?
A: Yes, there is a fee associated with renewing a house moving license. The amount of the fee can be found on the Form CE-1186.

Q: What documents do I need to include with my Form CE-1186?
A: You may need to include certain documents with your Form CE-1186, such as proof of insurance or a copy of your current license.

Q: How long does it take to process a Form CE-1186?
A: The processing time for Form CE-1186 can vary. You can contact the City of Houston, Texas for more information on the processing time.

ADVERTISEMENT

Form Details:

  • Released on January 1, 2022;
  • The latest edition provided by the Public Works Department - City of Houston, Texas;
  • Easy to use and ready to print;
  • Quick to customize;
  • Compatible with most PDF-viewing applications;
  • Fill out the form in our online filing application.

Download a fillable version of Form CE-1186 by clicking the link below or browse more documents and templates provided by the Public Works Department - City of Houston, Texas.

Download Form CE-1186 House Moving License Renewal Application - City of Houston, Texas

4.4 of 5 (23 votes)
  • Form CE-1186 House Moving License Renewal Application - City of Houston, Texas

    1

  • Form CE-1186 House Moving License Renewal Application - City of Houston, Texas, Page 2

    2

  • Form CE-1186 House Moving License Renewal Application - City of Houston, Texas, Page 1
  • Form CE-1186 House Moving License Renewal Application - City of Houston, Texas, Page 2
Prev 1 2 Next
ADVERTISEMENT

Related Documents