Instructions for Form CC-1684 Account for Trust - Virginia

Instructions for Form CC-1684 Account for Trust - Virginia

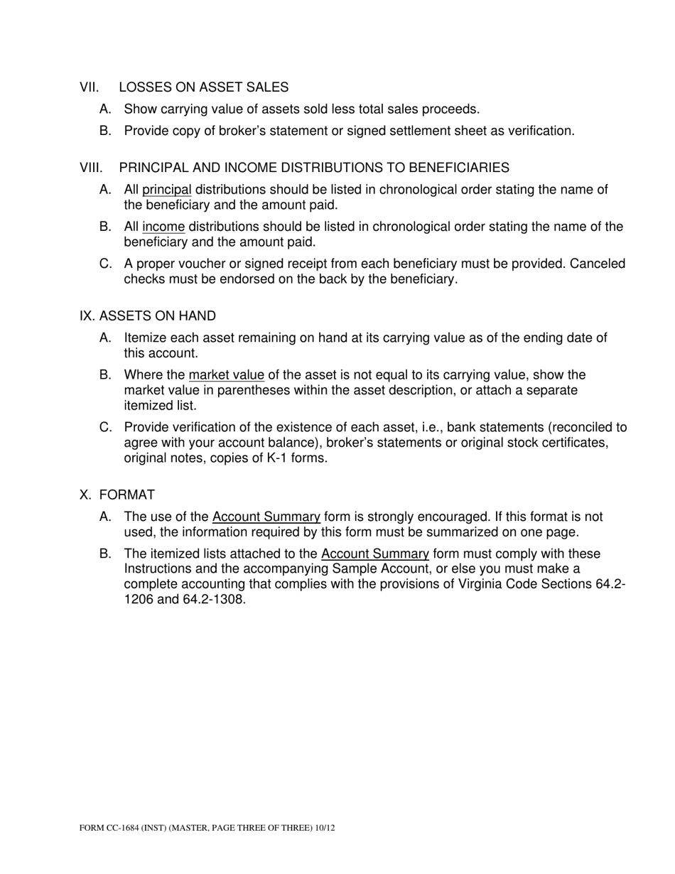
This document contains official instructions for Form CC-1684 , Account for Trust - a form released and collected by the Virginia Circuit Court. An up-to-date fillable Form CC-1684 is available for download through this link.

FAQ

Q: What is Form CC-1684?
A: Form CC-1684 is an account for trust form used in Virginia.

Q: Who needs to file Form CC-1684?
A: Individuals or entities who have created a trust in Virginia are required to file Form CC-1684.

Q: What information is required on Form CC-1684?
A: Form CC-1684 requires information about the trust, such as the name and address of the trustee, the value of the trust, and any income or expenses.

Q: When is Form CC-1684 due?
A: Form CC-1684 is due on or before May 1st of each year.

Q: Are there any penalties for late filing?
A: Yes, there are penalties for late filing of Form CC-1684. The penalty is 6% of the tax due for each month or part of a month that the return is late, up to a maximum of 30%.

Q: Can I file Form CC-1684 electronically?
A: No, Form CC-1684 cannot be filed electronically. It must be filed by mail.

ADVERTISEMENT

Instruction Details:

  • This 5-page document is available for download in PDF;
  • Actual and applicable for the current year;
  • Complete, printable, and free.

Download your copy of the instructions by clicking the link below or browse hundreds of other forms in our library of forms released by the Virginia Circuit Court.

Download Instructions for Form CC-1684 Account for Trust - Virginia

4.3 of 5 (14 votes)
  • Instructions for Form CC-1684 Account for Trust - Virginia

    1

  • Instructions for Form CC-1684 Account for Trust - Virginia, Page 2

    2

  • Instructions for Form CC-1684 Account for Trust - Virginia, Page 3

    3

  • Instructions for Form CC-1684 Account for Trust - Virginia, Page 4

    4

  • Instructions for Form CC-1684 Account for Trust - Virginia, Page 5

    5

  • Instructions for Form CC-1684 Account for Trust - Virginia, Page 1
  • Instructions for Form CC-1684 Account for Trust - Virginia, Page 2
  • Instructions for Form CC-1684 Account for Trust - Virginia, Page 3
  • Instructions for Form CC-1684 Account for Trust - Virginia, Page 4
  • Instructions for Form CC-1684 Account for Trust - Virginia, Page 5
Prev 1 2 3 4 5 Next
ADVERTISEMENT