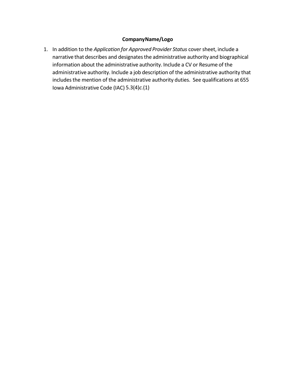
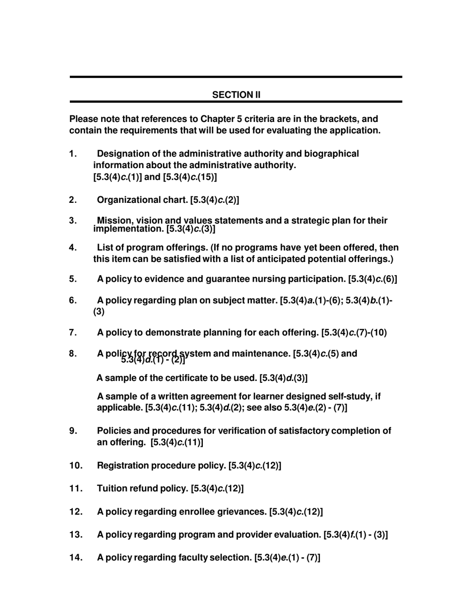
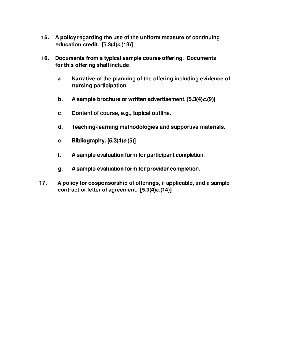
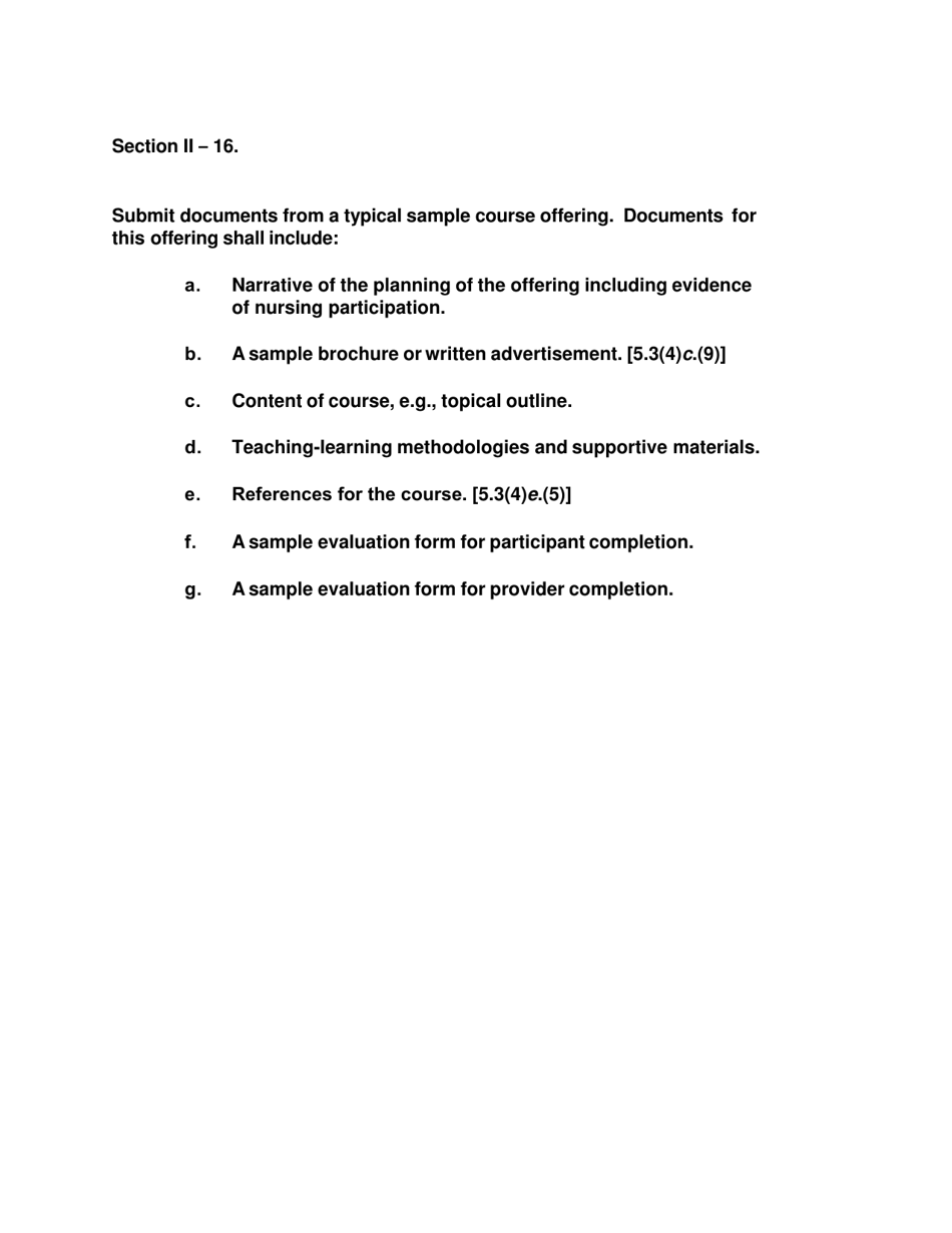
Application for Approved Provider Status With Policy Examples - Iowa

Application for Approved Provider Status With Policy Examples - Iowa

Application for Approved Provider Status With Policy Examples is a legal document that was released by the Iowa Board of Nursing - a government authority operating within Iowa.

FAQ

Q: What is Approved Provider Status?
A: Approved Provider Status is a designation granted by the state of Iowa for providers who meet certain requirements and are eligible to offer services in the state.

Q: How can I apply for Approved Provider Status?
A: To apply for Approved Provider Status, you need to complete an application form and submit it to the appropriate department in Iowa.

Q: What are the requirements for Approved Provider Status?
A: The specific requirements for Approved Provider Status may vary, but typically include meeting certain educational, experience, and licensing criteria.

Q: Are there any policy examples available for Approved Provider Status?
A: Yes, there are policy examples available that can help you understand the requirements and guidelines for obtaining Approved Provider Status.

ADVERTISEMENT

Form Details:

  • Released on January 27, 2022;
  • The latest edition currently provided by the Iowa Board of Nursing;
  • Ready to use and print;
  • Easy to customize;
  • Compatible with most PDF-viewing applications;
  • Fill out the form in our online filing application.

Download a fillable version of the form by clicking the link below or browse more documents and templates provided by the Iowa Board of Nursing.

Download Application for Approved Provider Status With Policy Examples - Iowa

4.8 of 5 (21 votes)
  • Application for Approved Provider Status With Policy Examples - Iowa

    1

  • Application for Approved Provider Status With Policy Examples - Iowa, Page 2

    2

  • Application for Approved Provider Status With Policy Examples - Iowa, Page 3

    3

  • Application for Approved Provider Status With Policy Examples - Iowa, Page 4

    4

  • Application for Approved Provider Status With Policy Examples - Iowa, Page 5

    5

  • Application for Approved Provider Status With Policy Examples - Iowa, Page 6

    6

  • Application for Approved Provider Status With Policy Examples - Iowa, Page 7

    7

  • Application for Approved Provider Status With Policy Examples - Iowa, Page 8

    8

  • Application for Approved Provider Status With Policy Examples - Iowa, Page 9

    9

  • Application for Approved Provider Status With Policy Examples - Iowa, Page 10

    10

  • Application for Approved Provider Status With Policy Examples - Iowa, Page 11

    11

  • Application for Approved Provider Status With Policy Examples - Iowa, Page 12

    12

  • Application for Approved Provider Status With Policy Examples - Iowa, Page 13

    13

  • Application for Approved Provider Status With Policy Examples - Iowa, Page 14

    14

  • Application for Approved Provider Status With Policy Examples - Iowa, Page 15

    15

  • Application for Approved Provider Status With Policy Examples - Iowa, Page 16

    16

  • Application for Approved Provider Status With Policy Examples - Iowa, Page 17

    17

  • Application for Approved Provider Status With Policy Examples - Iowa, Page 18

    18

  • Application for Approved Provider Status With Policy Examples - Iowa, Page 19

    19

  • Application for Approved Provider Status With Policy Examples - Iowa, Page 20

    20

  • Application for Approved Provider Status With Policy Examples - Iowa, Page 1
  • Application for Approved Provider Status With Policy Examples - Iowa, Page 2
  • Application for Approved Provider Status With Policy Examples - Iowa, Page 3
  • Application for Approved Provider Status With Policy Examples - Iowa, Page 4
  • Application for Approved Provider Status With Policy Examples - Iowa, Page 5
  • Application for Approved Provider Status With Policy Examples - Iowa, Page 6
  • Application for Approved Provider Status With Policy Examples - Iowa, Page 7
  • Application for Approved Provider Status With Policy Examples - Iowa, Page 8
  • Application for Approved Provider Status With Policy Examples - Iowa, Page 9
  • Application for Approved Provider Status With Policy Examples - Iowa, Page 10
  • Application for Approved Provider Status With Policy Examples - Iowa, Page 11
  • Application for Approved Provider Status With Policy Examples - Iowa, Page 12
  • Application for Approved Provider Status With Policy Examples - Iowa, Page 13
  • Application for Approved Provider Status With Policy Examples - Iowa, Page 14
  • Application for Approved Provider Status With Policy Examples - Iowa, Page 15
  • Application for Approved Provider Status With Policy Examples - Iowa, Page 16
  • Application for Approved Provider Status With Policy Examples - Iowa, Page 17
  • Application for Approved Provider Status With Policy Examples - Iowa, Page 18
  • Application for Approved Provider Status With Policy Examples - Iowa, Page 19
  • Application for Approved Provider Status With Policy Examples - Iowa, Page 20
Prev 1 2 3 4 5 ... 20 Next
ADVERTISEMENT