Non-tort Settlement / Judgment Payment Authorization Form - Massachusetts

Non-tort Settlement / Judgment Payment Authorization Form - Massachusetts

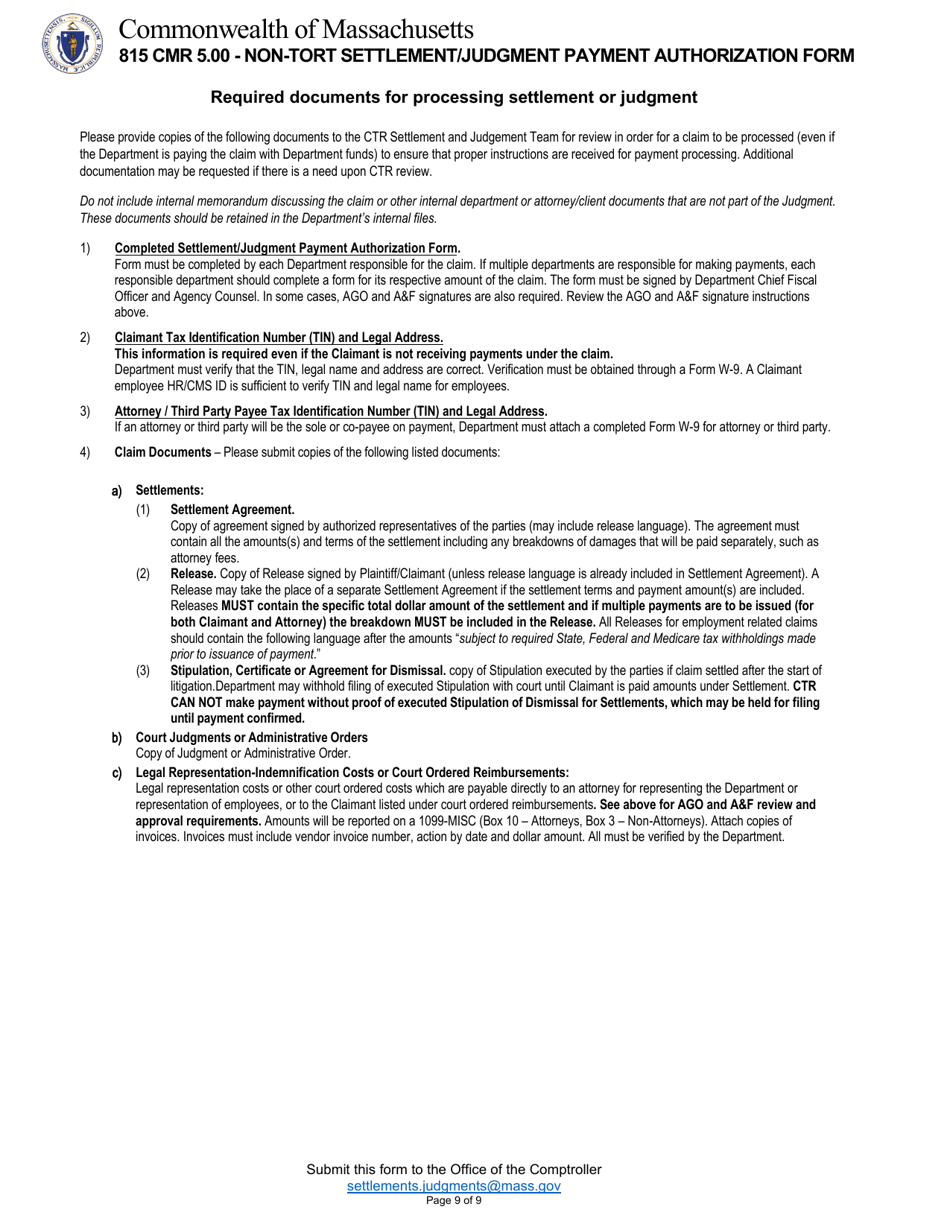
Non-tort Settlement/Judgment Payment Authorization Form is a legal document that was released by the Comptroller of the Commonwealth of Massachusetts - a government authority operating within Massachusetts.

FAQ

Q: What is the Non-tort Settlement/Judgment Payment Authorization Form?
A: The Non-tort Settlement/Judgment Payment Authorization Form is a document used in Massachusetts to authorize the payment of settlements or judgments outside of tort claims.

Q: When is the Non-tort Settlement/Judgment Payment Authorization Form used?
A: The form is used when there is a settlement or judgment that needs to be paid outside of a tort claim, such as in contractual disputes or non-tort personal injury claims.

Q: What is a tort claim?
A: A tort claim is a civil claim for damages or injuries caused by someone's negligence or intentional wrongdoing.

Q: Who uses the Non-tort Settlement/Judgment Payment Authorization Form?
A: The form is typically used by government agencies or departments in Massachusetts that are responsible for paying settlements or judgments.

ADVERTISEMENT

Form Details:

  • The latest edition currently provided by the Comptroller of the Commonwealth of Massachusetts;
  • Ready to use and print;
  • Easy to customize;
  • Compatible with most PDF-viewing applications;
  • Fill out the form in our online filing application.

Download a fillable version of the form by clicking the link below or browse more documents and templates provided by the Comptroller of the Commonwealth of Massachusetts.

Download Non-tort Settlement / Judgment Payment Authorization Form - Massachusetts

4.4 of 5 (11 votes)
  • Non-tort Settlement/Judgment Payment Authorization Form - Massachusetts

    1

  • Non-tort Settlement/Judgment Payment Authorization Form - Massachusetts, Page 2

    2

  • Non-tort Settlement/Judgment Payment Authorization Form - Massachusetts, Page 3

    3

  • Non-tort Settlement/Judgment Payment Authorization Form - Massachusetts, Page 4

    4

  • Non-tort Settlement/Judgment Payment Authorization Form - Massachusetts, Page 5

    5

  • Non-tort Settlement/Judgment Payment Authorization Form - Massachusetts, Page 6

    6

  • Non-tort Settlement/Judgment Payment Authorization Form - Massachusetts, Page 7

    7

  • Non-tort Settlement/Judgment Payment Authorization Form - Massachusetts, Page 8

    8

  • Non-tort Settlement/Judgment Payment Authorization Form - Massachusetts, Page 9

    9

  • Non-tort Settlement / Judgment Payment Authorization Form - Massachusetts, Page 1
  • Non-tort Settlement / Judgment Payment Authorization Form - Massachusetts, Page 2
  • Non-tort Settlement / Judgment Payment Authorization Form - Massachusetts, Page 3
  • Non-tort Settlement / Judgment Payment Authorization Form - Massachusetts, Page 4
  • Non-tort Settlement / Judgment Payment Authorization Form - Massachusetts, Page 5
  • Non-tort Settlement / Judgment Payment Authorization Form - Massachusetts, Page 6
  • Non-tort Settlement / Judgment Payment Authorization Form - Massachusetts, Page 7
  • Non-tort Settlement / Judgment Payment Authorization Form - Massachusetts, Page 8
  • Non-tort Settlement / Judgment Payment Authorization Form - Massachusetts, Page 9
Prev 1 2 3 4 5 ... 9 Next
ADVERTISEMENT