Application for Preceptor Program - South Dakota

Application for Preceptor Program - South Dakota

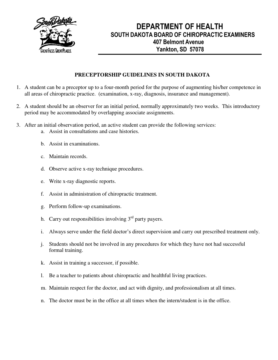
Application for Preceptor Program is a legal document that was released by the South Dakota Department of Health - a government authority operating within South Dakota.

FAQ

Q: What is the Preceptor Program in South Dakota?
A: The Preceptor Program in South Dakota is a program designed to provide guidance and support to new healthcare professionals.

Q: Who can participate in the Preceptor Program?
A: Healthcare professionals who have obtained their license in South Dakota can participate in the Preceptor Program.

Q: How does the Preceptor Program work?
A: The Preceptor Program pairs experienced healthcare professionals with new professionals to provide mentorship and on-the-job training.

Q: What are the benefits of participating in the Preceptor Program?
A: Participants in the Preceptor Program gain valuable experience, enhance their skills, and receive guidance and support from experienced professionals.

Q: How can I apply for the Preceptor Program?
A: To apply for the Preceptor Program, you need to complete an application form and submit it to the relevant authority in South Dakota.

Q: Is there any cost associated with participating in the Preceptor Program?
A: There may be a cost associated with participating in the Preceptor Program, such as application fees or training costs. It is best to check with the program administrators for specific details.

Q: Can I participate in the Preceptor Program if I am not a healthcare professional?
A: No, the Preceptor Program is specifically designed for healthcare professionals who have obtained their license in South Dakota.

ADVERTISEMENT

Form Details:

  • The latest edition currently provided by the South Dakota Department of Health;
  • Ready to use and print;
  • Easy to customize;
  • Compatible with most PDF-viewing applications;
  • Fill out the form in our online filing application.

Download a printable version of the form by clicking the link below or browse more documents and templates provided by the South Dakota Department of Health.

Download Application for Preceptor Program - South Dakota

4.3 of 5 (21 votes)
  • Application for Preceptor Program - South Dakota

    1

  • Application for Preceptor Program - South Dakota, Page 2

    2

  • Application for Preceptor Program - South Dakota, Page 3

    3

  • Application for Preceptor Program - South Dakota, Page 4

    4

  • Application for Preceptor Program - South Dakota, Page 5

    5

  • Application for Preceptor Program - South Dakota, Page 1
  • Application for Preceptor Program - South Dakota, Page 2
  • Application for Preceptor Program - South Dakota, Page 3
  • Application for Preceptor Program - South Dakota, Page 4
  • Application for Preceptor Program - South Dakota, Page 5
Prev 1 2 3 4 5 Next
ADVERTISEMENT

Related Documents