Form UD-10 Findings of Fact and Conclusions of Law - New York

Notification Icon This version of the form is not currently in use and is provided for reference only. Download this version of Form UD-10 for the current year.

Form UD-10 Findings of Fact and Conclusions of Law - New York

What Is Form UD-10?

This is a legal form that was released by the New York Supreme Court - a government authority operating within New York. As of today, no separate filing guidelines for the form are provided by the issuing department.

FAQ

Q: What is the Form UD-10?
A: The Form UD-10, Findings of Fact and Conclusions of Law, is a legal document used in New York.

Q: What is the purpose of Form UD-10?
A: The purpose of Form UD-10 is to outline the factual findings and legal conclusions made by a judge in a divorce case.

Q: Who completes Form UD-10?
A: The judge presiding over the divorce case completes Form UD-10.

Q: What information is included in Form UD-10?
A: Form UD-10 includes a summary of the relevant facts of the case and the legal conclusions reached by the judge.

Q: Is Form UD-10 a public record?
A: Yes, Form UD-10 is a public record and can be accessed by the parties involved in the divorce case and the general public.

ADVERTISEMENT

Form Details:

  • Released on March 1, 2022;
  • The latest edition provided by the New York Supreme Court;
  • Easy to use and ready to print;
  • Quick to customize;
  • Compatible with most PDF-viewing applications;
  • Fill out the form in our online filing application.

Download a printable version of Form UD-10 by clicking the link below or browse more documents and templates provided by the New York Supreme Court.

Download Form UD-10 Findings of Fact and Conclusions of Law - New York

4.3 of 5 (14 votes)
  • Form UD-10 Findings of Fact and Conclusions of Law - New York

    1

  • Form UD-10 Findings of Fact and Conclusions of Law - New York, Page 2

    2

  • Form UD-10 Findings of Fact and Conclusions of Law - New York, Page 3

    3

  • Form UD-10 Findings of Fact and Conclusions of Law - New York, Page 4

    4

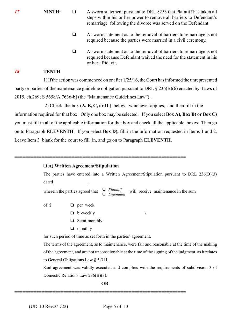
  • Form UD-10 Findings of Fact and Conclusions of Law - New York, Page 5

    5

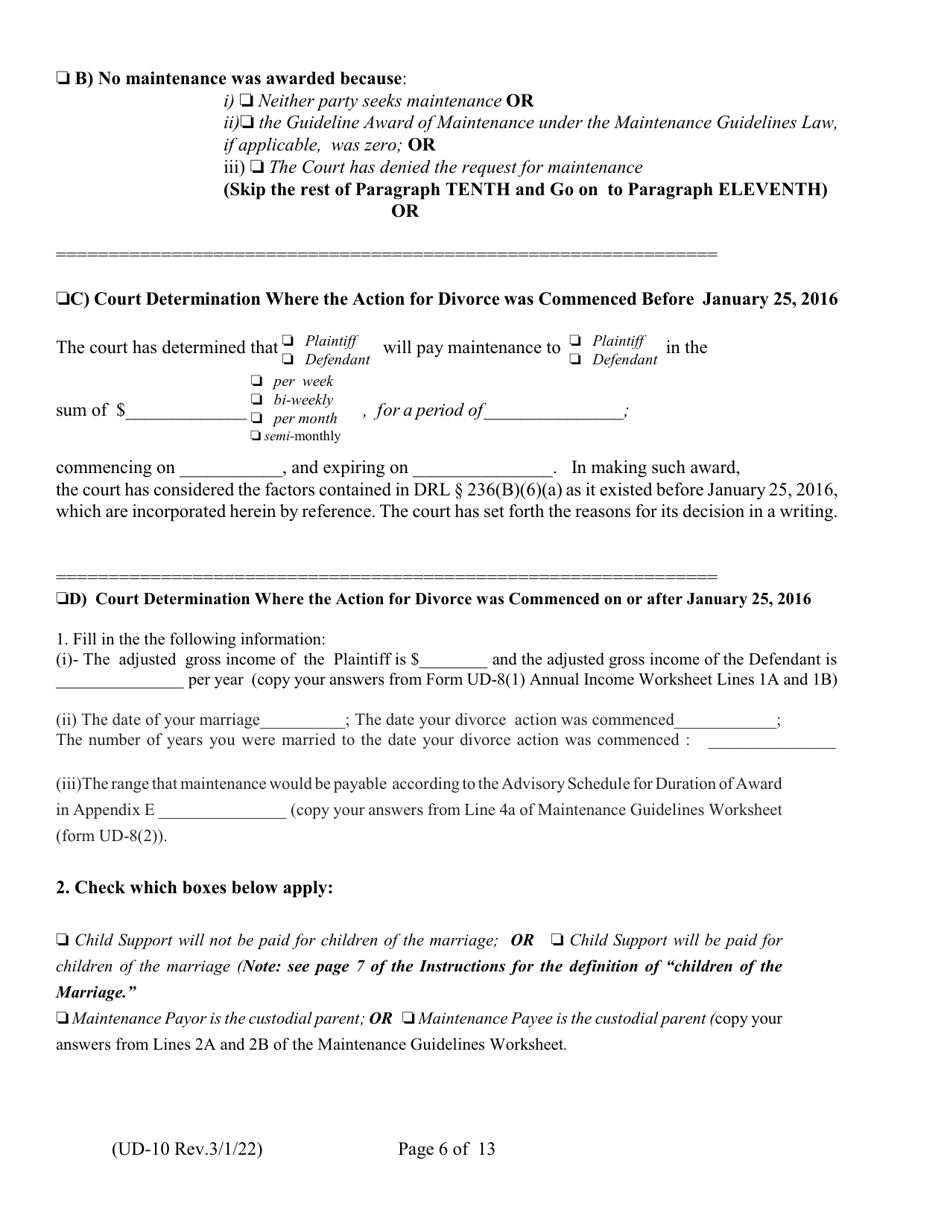
  • Form UD-10 Findings of Fact and Conclusions of Law - New York, Page 6

    6

  • Form UD-10 Findings of Fact and Conclusions of Law - New York, Page 7

    7

  • Form UD-10 Findings of Fact and Conclusions of Law - New York, Page 8

    8

  • Form UD-10 Findings of Fact and Conclusions of Law - New York, Page 9

    9

  • Form UD-10 Findings of Fact and Conclusions of Law - New York, Page 10

    10

  • Form UD-10 Findings of Fact and Conclusions of Law - New York, Page 11

    11

  • Form UD-10 Findings of Fact and Conclusions of Law - New York, Page 12

    12

  • Form UD-10 Findings of Fact and Conclusions of Law - New York, Page 13

    13

  • Form UD-10 Findings of Fact and Conclusions of Law - New York, Page 1
  • Form UD-10 Findings of Fact and Conclusions of Law - New York, Page 2
  • Form UD-10 Findings of Fact and Conclusions of Law - New York, Page 3
  • Form UD-10 Findings of Fact and Conclusions of Law - New York, Page 4
  • Form UD-10 Findings of Fact and Conclusions of Law - New York, Page 5
  • Form UD-10 Findings of Fact and Conclusions of Law - New York, Page 6
  • Form UD-10 Findings of Fact and Conclusions of Law - New York, Page 7
  • Form UD-10 Findings of Fact and Conclusions of Law - New York, Page 8
  • Form UD-10 Findings of Fact and Conclusions of Law - New York, Page 9
  • Form UD-10 Findings of Fact and Conclusions of Law - New York, Page 10
  • Form UD-10 Findings of Fact and Conclusions of Law - New York, Page 11
  • Form UD-10 Findings of Fact and Conclusions of Law - New York, Page 12
  • Form UD-10 Findings of Fact and Conclusions of Law - New York, Page 13
Prev 1 2 3 4 5 ... 13 Next
ADVERTISEMENT