Application for Youthful Offender Determination [cpl 720.20(5)] With Affidavit of Service - New York

Application for Youthful Offender Determination [cpl 720.20(5)] With Affidavit of Service - New York

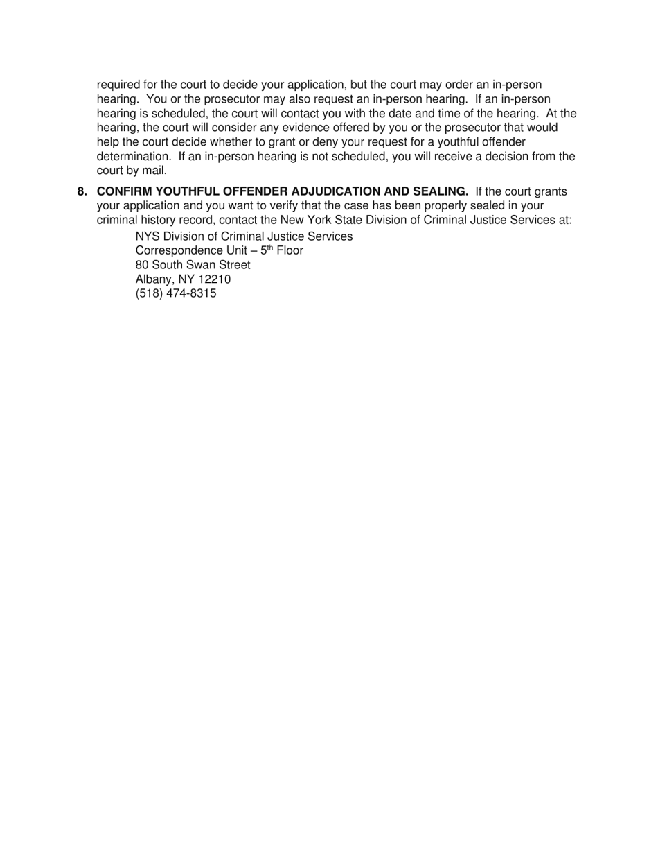
Application for Youthful Offender Determination [cpl 720.20(5)] With Affidavit of Service is a legal document that was released by the New York State Unified Court System - a government authority operating within New York.

FAQ

Q: What is an application for Youthful Offender Determination?
A: It is a legal document filed in New York to request consideration for a Youthful Offender status.

Q: What does CPL 720.20(5) refer to?
A: CPL 720.20(5) is the specific section of the New York Criminal Procedure Law that governs Youthful Offender Determination.

Q: What is the purpose of the Affidavit of Service?
A: The Affidavit of Service is a document that proves that the application has been properly served to all parties involved in the case.

Q: Who can file an application for Youthful Offender Determination?
A: An individual who is under the age of 19 and has been charged with a crime in New York can file this application.

Q: What are the benefits of being granted Youthful Offender status?
A: If granted, the individual's criminal record will be sealed, providing them with a fresh start and increased opportunities for employment and education.

ADVERTISEMENT

Form Details:

  • The latest edition currently provided by the New York State Unified Court System;
  • Ready to use and print;
  • Easy to customize;
  • Compatible with most PDF-viewing applications;
  • Fill out the form in our online filing application.

Download a fillable version of the form by clicking the link below or browse more documents and templates provided by the New York State Unified Court System.

Download Application for Youthful Offender Determination [cpl 720.20(5)] With Affidavit of Service - New York

4.4 of 5 (7 votes)
  • Application for Youthful Offender Determination [cpl 720.20(5)] With Affidavit of Service - New York

    1

  • Application for Youthful Offender Determination [cpl 720.20(5)] With Affidavit of Service - New York, Page 2

    2

  • Application for Youthful Offender Determination [cpl 720.20(5)] With Affidavit of Service - New York, Page 3

    3

  • Application for Youthful Offender Determination [cpl 720.20(5)] With Affidavit of Service - New York, Page 4

    4

  • Application for Youthful Offender Determination [cpl 720.20(5)] With Affidavit of Service - New York, Page 5

    5

  • Application for Youthful Offender Determination [cpl 720.20(5)] With Affidavit of Service - New York, Page 6

    6

  • Application for Youthful Offender Determination [cpl 720.20(5)] With Affidavit of Service - New York, Page 7

    7

  • Application for Youthful Offender Determination [cpl 720.20(5)] With Affidavit of Service - New York, Page 8

    8

  • Application for Youthful Offender Determination [cpl 720.20(5)] With Affidavit of Service - New York, Page 9

    9

  • Application for Youthful Offender Determination [cpl 720.20(5)] With Affidavit of Service - New York, Page 10

    10

  • Application for Youthful Offender Determination [cpl 720.20(5)] With Affidavit of Service - New York, Page 1
  • Application for Youthful Offender Determination [cpl 720.20(5)] With Affidavit of Service - New York, Page 2
  • Application for Youthful Offender Determination [cpl 720.20(5)] With Affidavit of Service - New York, Page 3
  • Application for Youthful Offender Determination [cpl 720.20(5)] With Affidavit of Service - New York, Page 4
  • Application for Youthful Offender Determination [cpl 720.20(5)] With Affidavit of Service - New York, Page 5
  • Application for Youthful Offender Determination [cpl 720.20(5)] With Affidavit of Service - New York, Page 6
  • Application for Youthful Offender Determination [cpl 720.20(5)] With Affidavit of Service - New York, Page 7
  • Application for Youthful Offender Determination [cpl 720.20(5)] With Affidavit of Service - New York, Page 8
  • Application for Youthful Offender Determination [cpl 720.20(5)] With Affidavit of Service - New York, Page 9
  • Application for Youthful Offender Determination [cpl 720.20(5)] With Affidavit of Service - New York, Page 10
Prev 1 2 3 4 5 ... 10 Next
ADVERTISEMENT