Form 2F-P-559 Complaint for Divorce; Automatic Restraining Order; Summons to Answer Complaint - Hawaii

Form 2F-P-559 Complaint for Divorce; Automatic Restraining Order; Summons to Answer Complaint - Hawaii

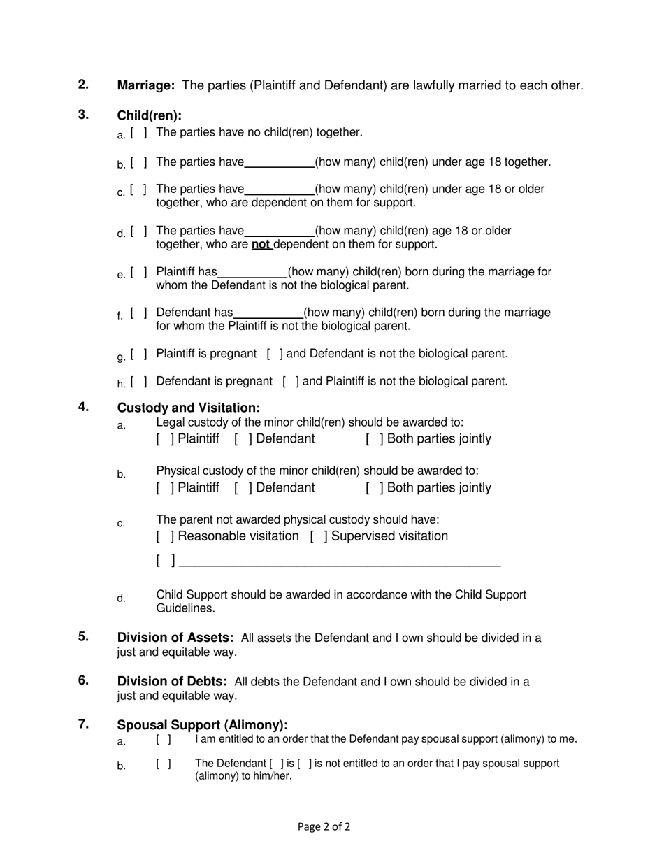
What Is Form 2F-P-559?

This is a legal form that was released by the Hawaii Family Court - a government authority operating within Hawaii. As of today, no separate filing guidelines for the form are provided by the issuing department.

FAQ

Q: What is Form 2F-P-559?
A: Form 2F-P-559 is a document used for filing a complaint for divorce in Hawaii.

Q: What does the complaint for divorce include?
A: The complaint for divorce includes a request for divorce and any additional information relevant to the case.

Q: What is an automatic restraining order?
A: An automatic restraining order is a court order that prevents both spouses from taking certain actions during the divorce process.

Q: What does the summons to answer complaint do?
A: The summons to answer complaint notifies the other spouse that they have been sued for divorce and provides a deadline to respond.

ADVERTISEMENT

Form Details:

  • Released on December 30, 2021;
  • The latest edition provided by the Hawaii Family Court;
  • Easy to use and ready to print;
  • Quick to customize;
  • Compatible with most PDF-viewing applications;
  • Fill out the form in our online filing application.

Download a fillable version of Form 2F-P-559 by clicking the link below or browse more documents and templates provided by the Hawaii Family Court.

Download Form 2F-P-559 Complaint for Divorce; Automatic Restraining Order; Summons to Answer Complaint - Hawaii

4.3 of 5 (21 votes)
  • Form 2F-P-559 Complaint for Divorce; Automatic Restraining Order; Summons to Answer Complaint - Hawaii

    1

  • Form 2F-P-559 Complaint for Divorce; Automatic Restraining Order; Summons to Answer Complaint - Hawaii, Page 2

    2

  • Form 2F-P-559 Complaint for Divorce; Automatic Restraining Order; Summons to Answer Complaint - Hawaii, Page 3

    3

  • Form 2F-P-559 Complaint for Divorce; Automatic Restraining Order; Summons to Answer Complaint - Hawaii, Page 4

    4

  • Form 2F-P-559 Complaint for Divorce; Automatic Restraining Order; Summons to Answer Complaint - Hawaii, Page 5

    5

  • Form 2F-P-559 Complaint for Divorce; Automatic Restraining Order; Summons to Answer Complaint - Hawaii, Page 6

    6

  • Form 2F-P-559 Complaint for Divorce; Automatic Restraining Order; Summons to Answer Complaint - Hawaii, Page 7

    7

  • Form 2F-P-559 Complaint for Divorce; Automatic Restraining Order; Summons to Answer Complaint - Hawaii, Page 8

    8

  • Form 2F-P-559 Complaint for Divorce; Automatic Restraining Order; Summons to Answer Complaint - Hawaii, Page 1
  • Form 2F-P-559 Complaint for Divorce; Automatic Restraining Order; Summons to Answer Complaint - Hawaii, Page 2
  • Form 2F-P-559 Complaint for Divorce; Automatic Restraining Order; Summons to Answer Complaint - Hawaii, Page 3
  • Form 2F-P-559 Complaint for Divorce; Automatic Restraining Order; Summons to Answer Complaint - Hawaii, Page 4
  • Form 2F-P-559 Complaint for Divorce; Automatic Restraining Order; Summons to Answer Complaint - Hawaii, Page 5
  • Form 2F-P-559 Complaint for Divorce; Automatic Restraining Order; Summons to Answer Complaint - Hawaii, Page 6
  • Form 2F-P-559 Complaint for Divorce; Automatic Restraining Order; Summons to Answer Complaint - Hawaii, Page 7
  • Form 2F-P-559 Complaint for Divorce; Automatic Restraining Order; Summons to Answer Complaint - Hawaii, Page 8
Prev 1 2 3 4 5 ... 8 Next
ADVERTISEMENT

Related Documents