Form 2F-P-560 Complaint for Civil Union Divorce; Automatic Restraining Order; Summons to Answer Complaint - Hawaii

Form 2F-P-560 Complaint for Civil Union Divorce; Automatic Restraining Order; Summons to Answer Complaint - Hawaii

What Is Form 2F-P-560?

This is a legal form that was released by the Hawaii Family Court - a government authority operating within Hawaii. As of today, no separate filing guidelines for the form are provided by the issuing department.

FAQ

Q: What is Form 2F-P-560?
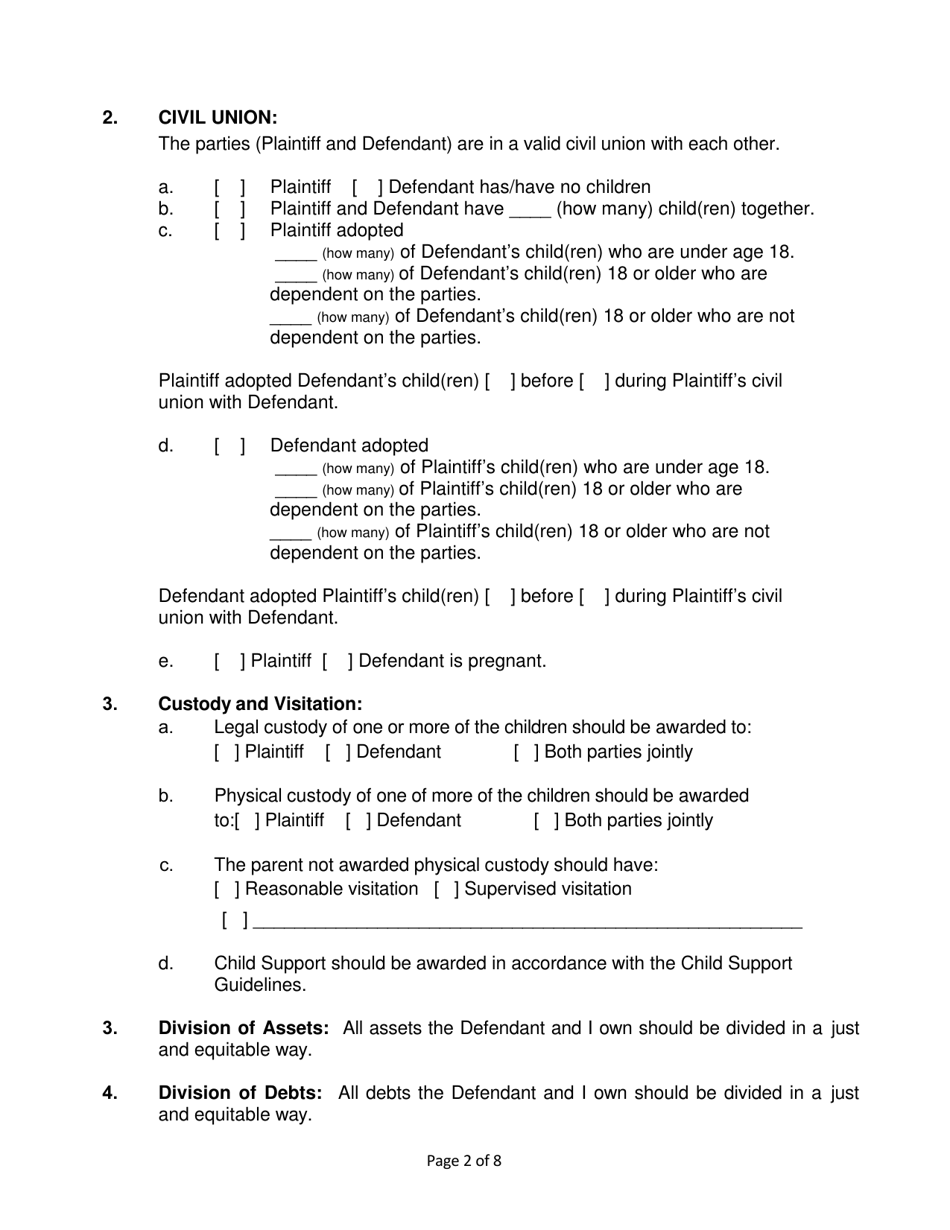
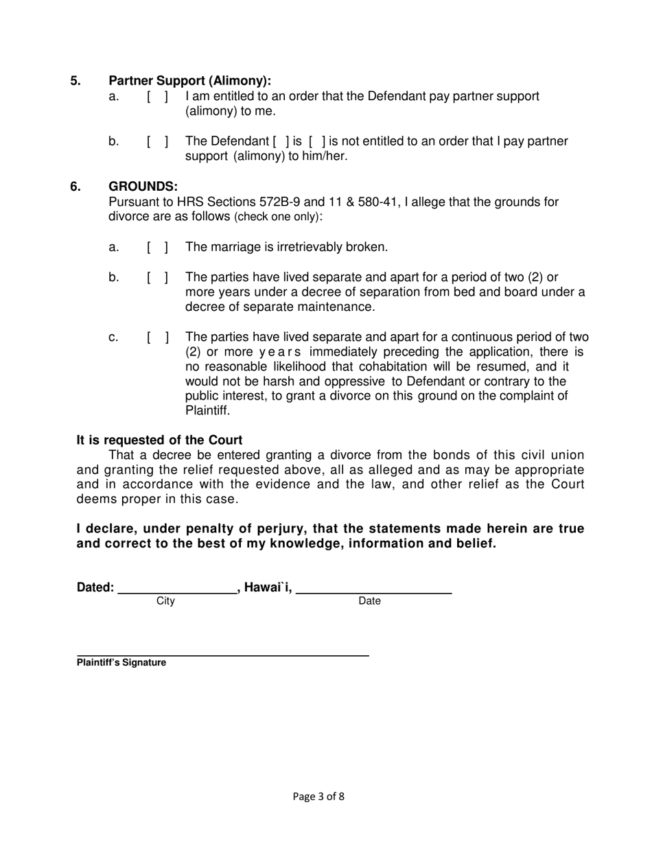
A: Form 2F-P-560 is a complaint for civil union divorce in Hawaii.

Q: What does the complaint include?
A: The complaint includes an automatic restraining order and a summons to answer the complaint.

Q: What is the purpose of the automatic restraining order?
A: The automatic restraining order is designed to prohibit both parties from taking certain actions during the divorce process.

Q: What is the purpose of the summons to answer the complaint?
A: The summons is a legal notice to the responding party informing them that they need to answer the complaint in court.

ADVERTISEMENT

Form Details:

  • Released on January 19, 2022;
  • The latest edition provided by the Hawaii Family Court;
  • Easy to use and ready to print;
  • Quick to customize;
  • Compatible with most PDF-viewing applications;
  • Fill out the form in our online filing application.

Download a fillable version of Form 2F-P-560 by clicking the link below or browse more documents and templates provided by the Hawaii Family Court.

Download Form 2F-P-560 Complaint for Civil Union Divorce; Automatic Restraining Order; Summons to Answer Complaint - Hawaii

4.6 of 5 (5 votes)
  • Form 2F-P-560 Complaint for Civil Union Divorce; Automatic Restraining Order; Summons to Answer Complaint - Hawaii

    1

  • Form 2F-P-560 Complaint for Civil Union Divorce; Automatic Restraining Order; Summons to Answer Complaint - Hawaii, Page 2

    2

  • Form 2F-P-560 Complaint for Civil Union Divorce; Automatic Restraining Order; Summons to Answer Complaint - Hawaii, Page 3

    3

  • Form 2F-P-560 Complaint for Civil Union Divorce; Automatic Restraining Order; Summons to Answer Complaint - Hawaii, Page 4

    4

  • Form 2F-P-560 Complaint for Civil Union Divorce; Automatic Restraining Order; Summons to Answer Complaint - Hawaii, Page 5

    5

  • Form 2F-P-560 Complaint for Civil Union Divorce; Automatic Restraining Order; Summons to Answer Complaint - Hawaii, Page 6

    6

  • Form 2F-P-560 Complaint for Civil Union Divorce; Automatic Restraining Order; Summons to Answer Complaint - Hawaii, Page 7

    7

  • Form 2F-P-560 Complaint for Civil Union Divorce; Automatic Restraining Order; Summons to Answer Complaint - Hawaii, Page 8

    8

  • Form 2F-P-560 Complaint for Civil Union Divorce; Automatic Restraining Order; Summons to Answer Complaint - Hawaii, Page 1
  • Form 2F-P-560 Complaint for Civil Union Divorce; Automatic Restraining Order; Summons to Answer Complaint - Hawaii, Page 2
  • Form 2F-P-560 Complaint for Civil Union Divorce; Automatic Restraining Order; Summons to Answer Complaint - Hawaii, Page 3
  • Form 2F-P-560 Complaint for Civil Union Divorce; Automatic Restraining Order; Summons to Answer Complaint - Hawaii, Page 4
  • Form 2F-P-560 Complaint for Civil Union Divorce; Automatic Restraining Order; Summons to Answer Complaint - Hawaii, Page 5
  • Form 2F-P-560 Complaint for Civil Union Divorce; Automatic Restraining Order; Summons to Answer Complaint - Hawaii, Page 6
  • Form 2F-P-560 Complaint for Civil Union Divorce; Automatic Restraining Order; Summons to Answer Complaint - Hawaii, Page 7
  • Form 2F-P-560 Complaint for Civil Union Divorce; Automatic Restraining Order; Summons to Answer Complaint - Hawaii, Page 8
Prev 1 2 3 4 5 ... 8 Next
ADVERTISEMENT