Form CP41 Petition for Order of Protection - Child - Missouri

Notification Icon This version of the form is not currently in use and is provided for reference only. Download this version of Form CP41 for the current year.

Form CP41 Petition for Order of Protection - Child - Missouri

What Is Form CP41?

This is a legal form that was released by the Missouri Courts - a government authority operating within Missouri. As of today, no separate filing guidelines for the form are provided by the issuing department.

FAQ

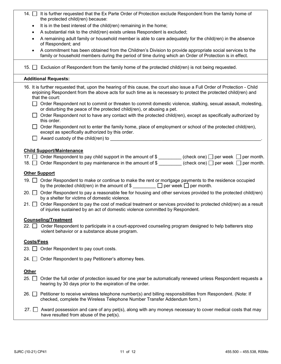
Q: What is a CP41 Petition for Order of Protection?
A: A CP41 Petition for Order of Protection is a legal document that can be filed in Missouri to request an order of protection for a child.

Q: Who can file a CP41 Petition for Order of Protection?
A: A parent, guardian, or any adult may file a CP41 Petition for Order of Protection on behalf of a child.

Q: What is the purpose of a CP41 Petition for Order of Protection?
A: The purpose of a CP41 Petition for Order of Protection is to protect a child from abuse, stalking, harassment, or other harmful behaviors.

Q: What should be included in a CP41 Petition for Order of Protection?
A: The CP41 Petition for Order of Protection should include details of the abuse or harm suffered by the child, the relationship between the child and the person accused of abuse, and any supporting evidence.

Q: What happens after filing a CP41 Petition for Order of Protection?
A: After filing a CP41 Petition for Order of Protection, the court will review the petition and may schedule a hearing to determine if an order of protection should be granted.

Q: What can the court do after reviewing a CP41 Petition for Order of Protection?
A: If the court determines that the child is in immediate danger, it may issue an ex parte order of protection. If a full hearing is scheduled, the court may grant a temporary or permanent order of protection if the evidence supports it.

Q: What are the possible outcomes of a CP41 Petition for Order of Protection?
A: The court can grant an order of protection, which may provide various protections for the child, including prohibiting contact with the person accused of abuse, granting custody of the child to a specific person, and requiring the accused person to attend counseling or other programs.

Q: What should I do if I have concerns about a child's safety?
A: If you have concerns about a child's safety, it is important to take action. You can consider filing a CP41 Petition for Order of Protection or contacting local authorities or child protective services for assistance.

Q: Do I need a lawyer to file a CP41 Petition for Order of Protection?
A: While it is not required to have a lawyer, it is recommended to seek legal advice if you are unsure about the process or need help with the documentation.

ADVERTISEMENT

Form Details:

  • Released on October 1, 2021;
  • The latest edition provided by the Missouri Courts;
  • Easy to use and ready to print;
  • Quick to customize;
  • Compatible with most PDF-viewing applications;
  • Fill out the form in our online filing application.

Download a fillable version of Form CP41 by clicking the link below or browse more documents and templates provided by the Missouri Courts.

Download Form CP41 Petition for Order of Protection - Child - Missouri

4.5 of 5 (16 votes)
  • Form CP41 Petition for Order of Protection - Child - Missouri

    1

  • Form CP41 Petition for Order of Protection - Child - Missouri, Page 2

    2

  • Form CP41 Petition for Order of Protection - Child - Missouri, Page 3

    3

  • Form CP41 Petition for Order of Protection - Child - Missouri, Page 4

    4

  • Form CP41 Petition for Order of Protection - Child - Missouri, Page 5

    5

  • Form CP41 Petition for Order of Protection - Child - Missouri, Page 6

    6

  • Form CP41 Petition for Order of Protection - Child - Missouri, Page 7

    7

  • Form CP41 Petition for Order of Protection - Child - Missouri, Page 8

    8

  • Form CP41 Petition for Order of Protection - Child - Missouri, Page 9

    9

  • Form CP41 Petition for Order of Protection - Child - Missouri, Page 10

    10

  • Form CP41 Petition for Order of Protection - Child - Missouri, Page 11

    11

  • Form CP41 Petition for Order of Protection - Child - Missouri, Page 12

    12

  • Form CP41 Petition for Order of Protection - Child - Missouri, Page 1
  • Form CP41 Petition for Order of Protection - Child - Missouri, Page 2
  • Form CP41 Petition for Order of Protection - Child - Missouri, Page 3
  • Form CP41 Petition for Order of Protection - Child - Missouri, Page 4
  • Form CP41 Petition for Order of Protection - Child - Missouri, Page 5
  • Form CP41 Petition for Order of Protection - Child - Missouri, Page 6
  • Form CP41 Petition for Order of Protection - Child - Missouri, Page 7
  • Form CP41 Petition for Order of Protection - Child - Missouri, Page 8
  • Form CP41 Petition for Order of Protection - Child - Missouri, Page 9
  • Form CP41 Petition for Order of Protection - Child - Missouri, Page 10
  • Form CP41 Petition for Order of Protection - Child - Missouri, Page 11
  • Form CP41 Petition for Order of Protection - Child - Missouri, Page 12
Prev 1 2 3 4 5 ... 12 Next
ADVERTISEMENT

Related Documents