New Home Builder Registration Application - New Jersey

New Home Builder Registration Application - New Jersey

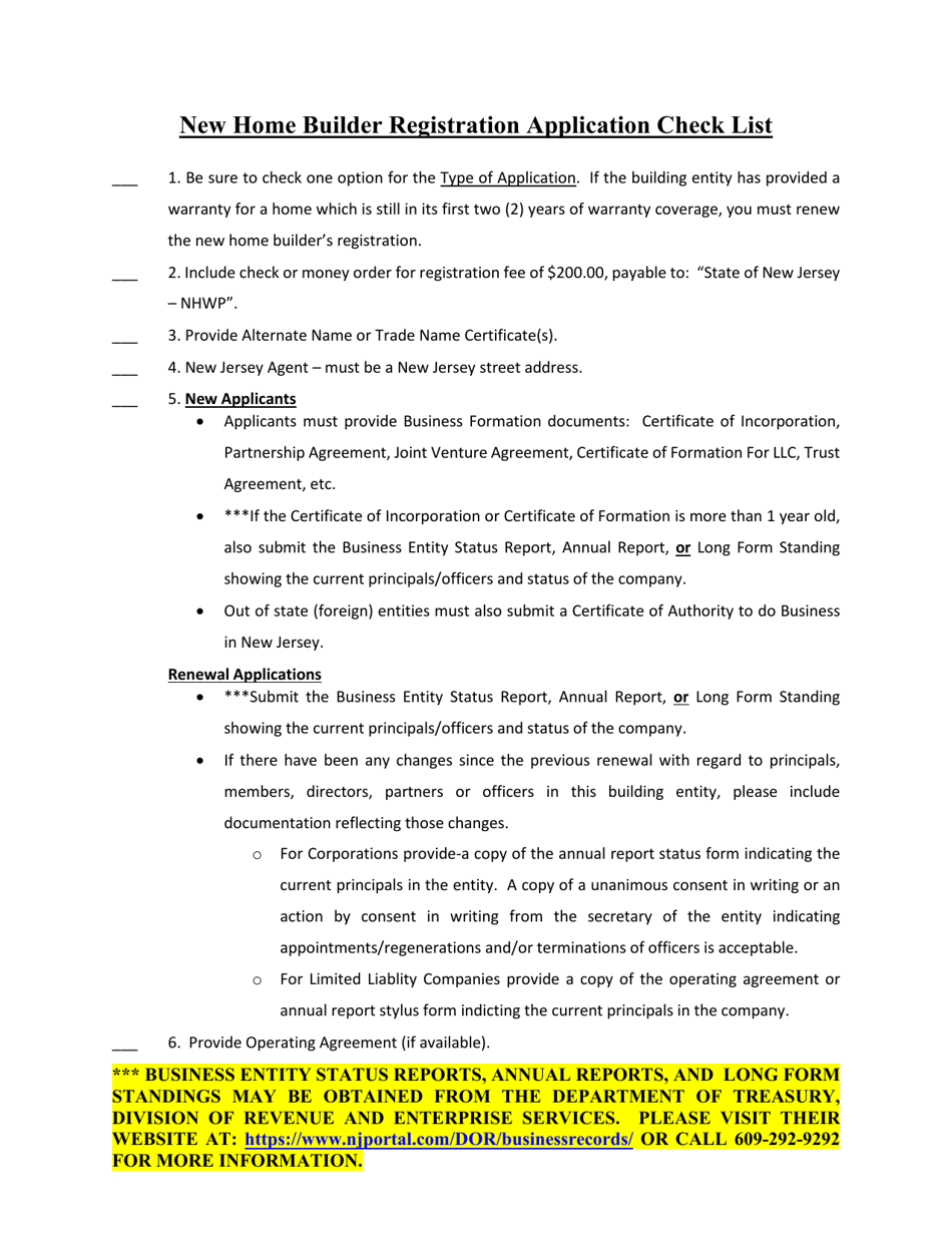
New Home Builder Registration Application is a legal document that was released by the New Jersey Department of Community Affairs - Division of Codes and Standards - a government authority operating within New Jersey.

FAQ

Q: What is the New Home Builder Registration Application?
A: The New Home Builder Registration Application is a form that builders in New Jersey must submit to register their new construction projects.

Q: Who needs to submit the New Home Builder Registration Application?
A: Builders in New Jersey who are involved in new construction projects need to submit the New Home Builder Registration Application.

Q: Why is it important to submit the New Home Builder Registration Application?
A: Submitting the New Home Builder Registration Application is mandatory for builders in New Jersey to ensure compliance with state regulations and to protect consumers.

Q: What information is required in the New Home Builder Registration Application?
A: The New Home Builder Registration Application requires information such as the builder's name, business address, contact information, and details about the construction project.

Q: Are there any fees associated with the New Home Builder Registration Application?
A: Yes, there are fees associated with the New Home Builder Registration Application. The exact fee amount depends on the number of units in the construction project.

ADVERTISEMENT

Form Details:

  • The latest edition currently provided by the New Jersey Department of Community Affairs - Division of Codes and Standards;
  • Ready to use and print;
  • Easy to customize;
  • Compatible with most PDF-viewing applications;
  • Fill out the form in our online filing application.

Download a printable version of the form by clicking the link below or browse more documents and templates provided by the New Jersey Department of Community Affairs - Division of Codes and Standards.

Download New Home Builder Registration Application - New Jersey

4.7 of 5 (9 votes)
  • New Home Builder Registration Application - New Jersey

    1

  • New Home Builder Registration Application - New Jersey, Page 2

    2

  • New Home Builder Registration Application - New Jersey, Page 3

    3

  • New Home Builder Registration Application - New Jersey, Page 4

    4

  • New Home Builder Registration Application - New Jersey, Page 5

    5

  • New Home Builder Registration Application - New Jersey, Page 6

    6

  • New Home Builder Registration Application - New Jersey, Page 7

    7

  • New Home Builder Registration Application - New Jersey, Page 8

    8

  • New Home Builder Registration Application - New Jersey, Page 9

    9

  • New Home Builder Registration Application - New Jersey, Page 10

    10

  • New Home Builder Registration Application - New Jersey, Page 11

    11

  • New Home Builder Registration Application - New Jersey, Page 12

    12

  • New Home Builder Registration Application - New Jersey, Page 13

    13

  • New Home Builder Registration Application - New Jersey, Page 1
  • New Home Builder Registration Application - New Jersey, Page 2
  • New Home Builder Registration Application - New Jersey, Page 3
  • New Home Builder Registration Application - New Jersey, Page 4
  • New Home Builder Registration Application - New Jersey, Page 5
  • New Home Builder Registration Application - New Jersey, Page 6
  • New Home Builder Registration Application - New Jersey, Page 7
  • New Home Builder Registration Application - New Jersey, Page 8
  • New Home Builder Registration Application - New Jersey, Page 9
  • New Home Builder Registration Application - New Jersey, Page 10
  • New Home Builder Registration Application - New Jersey, Page 11
  • New Home Builder Registration Application - New Jersey, Page 12
  • New Home Builder Registration Application - New Jersey, Page 13
Prev 1 2 3 4 5 ... 13 Next
ADVERTISEMENT

Related Documents