Form WPF JU07.1310 Statement of Juvenile for Deferred Disposition (Stjdd) - Washington

Form WPF JU07.1310 Statement of Juvenile for Deferred Disposition (Stjdd) - Washington

What Is Form WPF JU07.1310?

This is a legal form that was released by the Washington Juvenile Court - a government authority operating within Washington. As of today, no separate filing guidelines for the form are provided by the issuing department.

FAQ

Q: What is Form WPF JU07.1310?
A: Form WPF JU07.1310 is the Statement of Juvenile for Deferred Disposition (Stjdd).

Q: What is Deferred Disposition?
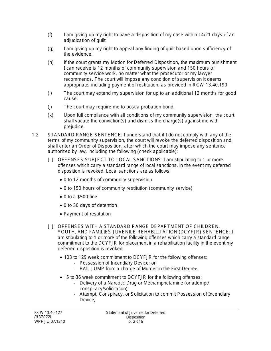
A: Deferred Disposition is a legal option that allows a juvenile who has committed an offense to complete certain requirements instead of going to trial.

Q: Who should fill out Form WPF JU07.1310?
A: The juvenile or their attorney should fill out Form WPF JU07.1310.

Q: What information is required on Form WPF JU07.1310?
A: Form WPF JU07.1310 requires information such as the juvenile's personal details, offense committed, and completion of required conditions.

ADVERTISEMENT

Form Details:

  • Released on January 1, 2022;
  • The latest edition provided by the Washington Juvenile Court;
  • Easy to use and ready to print;
  • Quick to customize;
  • Compatible with most PDF-viewing applications;
  • Fill out the form in our online filing application.

Download a printable version of Form WPF JU07.1310 by clicking the link below or browse more documents and templates provided by the Washington Juvenile Court.

Download Form WPF JU07.1310 Statement of Juvenile for Deferred Disposition (Stjdd) - Washington

4.7 of 5 (17 votes)
  • Form WPF JU07.1310 Statement of Juvenile for Deferred Disposition (Stjdd) - Washington

    1

  • Form WPF JU07.1310 Statement of Juvenile for Deferred Disposition (Stjdd) - Washington, Page 2

    2

  • Form WPF JU07.1310 Statement of Juvenile for Deferred Disposition (Stjdd) - Washington, Page 3

    3

  • Form WPF JU07.1310 Statement of Juvenile for Deferred Disposition (Stjdd) - Washington, Page 4

    4

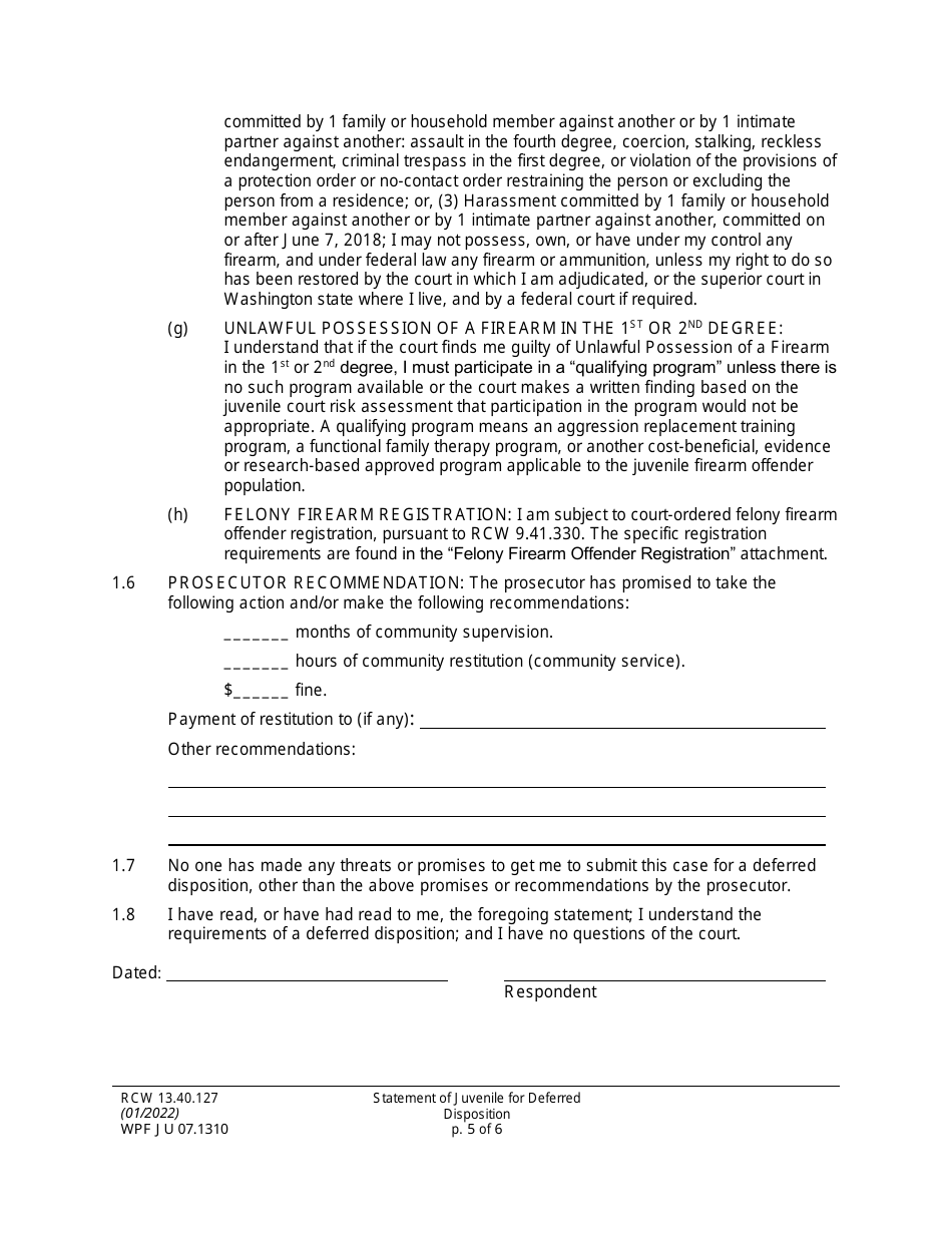
  • Form WPF JU07.1310 Statement of Juvenile for Deferred Disposition (Stjdd) - Washington, Page 5

    5

  • Form WPF JU07.1310 Statement of Juvenile for Deferred Disposition (Stjdd) - Washington, Page 6

    6

  • Form WPF JU07.1310 Statement of Juvenile for Deferred Disposition (Stjdd) - Washington, Page 1
  • Form WPF JU07.1310 Statement of Juvenile for Deferred Disposition (Stjdd) - Washington, Page 2
  • Form WPF JU07.1310 Statement of Juvenile for Deferred Disposition (Stjdd) - Washington, Page 3
  • Form WPF JU07.1310 Statement of Juvenile for Deferred Disposition (Stjdd) - Washington, Page 4
  • Form WPF JU07.1310 Statement of Juvenile for Deferred Disposition (Stjdd) - Washington, Page 5
  • Form WPF JU07.1310 Statement of Juvenile for Deferred Disposition (Stjdd) - Washington, Page 6
Prev 1 2 3 4 5 6 Next
ADVERTISEMENT