Form F-00367K Age-Specific Adl / Iadl Answer Choices for Children's Long-Term Support Programs Age: 14 - 18 Years - Wisconsin

Form F-00367K Age-Specific Adl / Iadl Answer Choices for Children's Long-Term Support Programs Age: 14 - 18 Years - Wisconsin

What Is Form F-00367K?

This is a legal form that was released by the Wisconsin Department of Health Services - a government authority operating within Wisconsin. As of today, no separate filing guidelines for the form are provided by the issuing department.

FAQ

Q: What is Form F-00367K?
A: Form F-00367K is a document used in Wisconsin for children's long-term support programs.

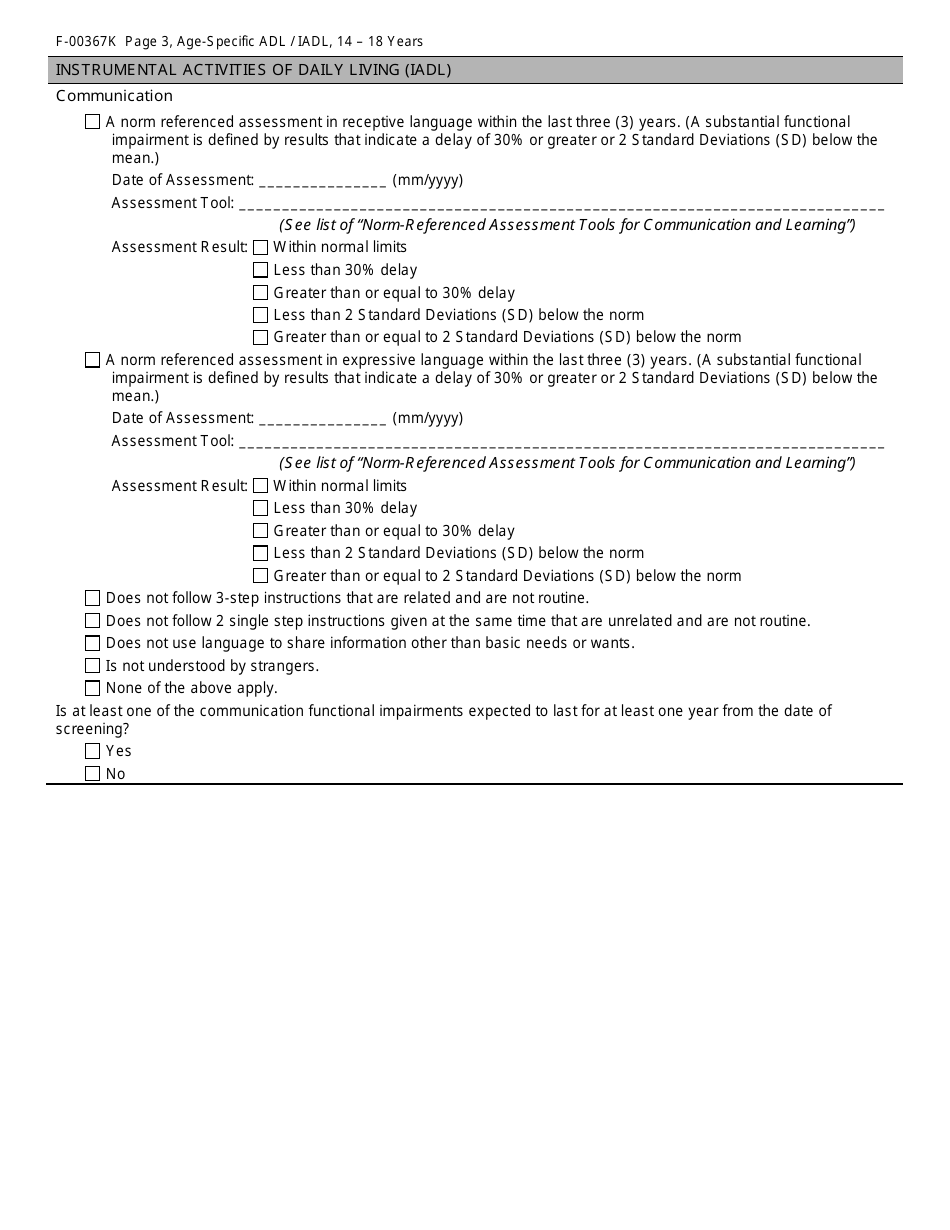
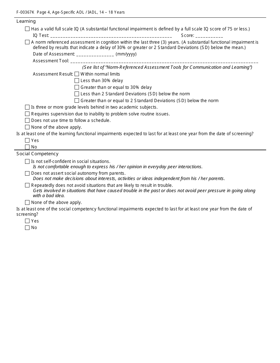
Q: What does ADL stand for?
A: ADL stands for Activities of Daily Living.

Q: What does IADL stand for?
A: IADL stands for Instrumental Activities of Daily Living.

Q: What age group does this form apply to?
A: This form applies to children aged 14 to 18 years old.

Q: What are the age-specific ADL/IADL answer choices?
A: The age-specific ADL/IADL answer choices for children aged 14 to 18 years are listed on this form.

ADVERTISEMENT

Form Details:

  • Released on February 1, 2017;
  • The latest edition provided by the Wisconsin Department of Health Services;
  • Easy to use and ready to print;
  • Quick to customize;
  • Compatible with most PDF-viewing applications;
  • Fill out the form in our online filing application.

Download a printable version of Form F-00367K by clicking the link below or browse more documents and templates provided by the Wisconsin Department of Health Services.

Download Form F-00367K Age-Specific Adl / Iadl Answer Choices for Children's Long-Term Support Programs Age: 14 - 18 Years - Wisconsin

4.7 of 5 (17 votes)
  • Form F-00367K Age-Specific Adl/Iadl Answer Choices for Children's Long-Term Support Programs Age: 14 - 18 Years - Wisconsin

    1

  • Form F-00367K Age-Specific Adl/Iadl Answer Choices for Children's Long-Term Support Programs Age: 14 - 18 Years - Wisconsin, Page 2

    2

  • Form F-00367K Age-Specific Adl/Iadl Answer Choices for Children's Long-Term Support Programs Age: 14 - 18 Years - Wisconsin, Page 3

    3

  • Form F-00367K Age-Specific Adl/Iadl Answer Choices for Children's Long-Term Support Programs Age: 14 - 18 Years - Wisconsin, Page 4

    4

  • Form F-00367K Age-Specific Adl / Iadl Answer Choices for Childrens Long-Term Support Programs Age: 14 - 18 Years - Wisconsin, Page 1
  • Form F-00367K Age-Specific Adl / Iadl Answer Choices for Childrens Long-Term Support Programs Age: 14 - 18 Years - Wisconsin, Page 2
  • Form F-00367K Age-Specific Adl / Iadl Answer Choices for Childrens Long-Term Support Programs Age: 14 - 18 Years - Wisconsin, Page 3
  • Form F-00367K Age-Specific Adl / Iadl Answer Choices for Childrens Long-Term Support Programs Age: 14 - 18 Years - Wisconsin, Page 4
Prev 1 2 3 4 Next
ADVERTISEMENT

Related Documents