Form UCT-5334-E Agricultural Employer's Report - Wisconsin

Notification Icon This version of the form is not currently in use and is provided for reference only. Download this version of Form UCT-5334-E for the current year.

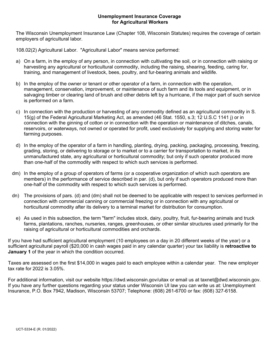
Form UCT-5334-E Agricultural Employer's Report - Wisconsin

What Is Form UCT-5334-E?

This is a legal form that was released by the Wisconsin Department of Workforce Development - a government authority operating within Wisconsin. As of today, no separate filing guidelines for the form are provided by the issuing department.

FAQ

Q: What is Form UCT-5334-E?
A: Form UCT-5334-E is the Agricultural Employer's Report that employers in Wisconsin must file to report wages and employment information of agricultural workers.

Q: Who is required to file Form UCT-5334-E?
A: Employers in Wisconsin who have agricultural workers are required to file Form UCT-5334-E.

Q: What information is required on Form UCT-5334-E?
A: Form UCT-5334-E requires employers to report the wages paid to agricultural workers and other employment information such as hours worked.

Q: When is Form UCT-5334-E due?
A: Form UCT-5334-E is due quarterly, with the deadline falling on the last day of the month following the end of the quarter.

Q: Are there any penalties for not filing Form UCT-5334-E?
A: Yes, failure to file Form UCT-5334-E or filing it late may result in penalties and interest charges.

ADVERTISEMENT

Form Details:

  • Released on January 1, 2022;
  • The latest edition provided by the Wisconsin Department of Workforce Development;
  • Easy to use and ready to print;
  • Quick to customize;
  • Compatible with most PDF-viewing applications;
  • Fill out the form in our online filing application.

Download a fillable version of Form UCT-5334-E by clicking the link below or browse more documents and templates provided by the Wisconsin Department of Workforce Development.

Download Form UCT-5334-E Agricultural Employer's Report - Wisconsin

4.8 of 5 (18 votes)
  • Form UCT-5334-E Agricultural Employer's Report - Wisconsin

    1

  • Form UCT-5334-E Agricultural Employer's Report - Wisconsin, Page 2

    2

  • Form UCT-5334-E Agricultural Employer's Report - Wisconsin, Page 3

    3

  • Form UCT-5334-E Agricultural Employers Report - Wisconsin, Page 1
  • Form UCT-5334-E Agricultural Employers Report - Wisconsin, Page 2
  • Form UCT-5334-E Agricultural Employers Report - Wisconsin, Page 3
Prev 1 2 3 Next
ADVERTISEMENT