Form F-02377 Supported Decision-Making Agreement - Wisconsin

Form F-02377 Supported Decision-Making Agreement - Wisconsin

What Is Form F-02377?

This is a legal form that was released by the Wisconsin Department of Health Services - a government authority operating within Wisconsin. As of today, no separate filing guidelines for the form are provided by the issuing department.

FAQ

Q: What is Form F-02377?
A: Form F-02377 is a Supported Decision-Making Agreement.

Q: What is a Supported Decision-Making Agreement?
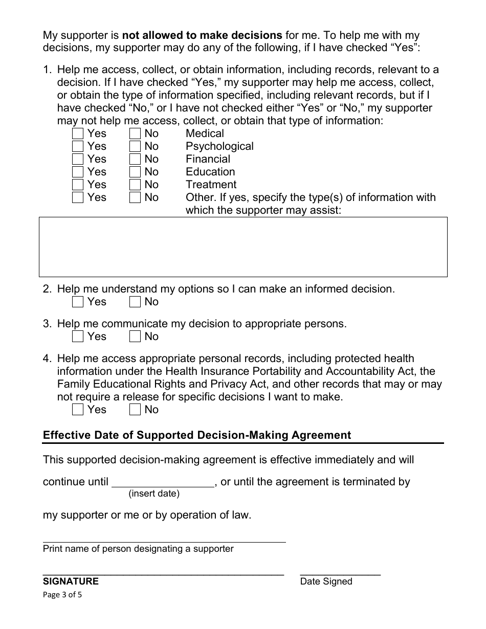
A: A Supported Decision-Making Agreement is a legal document that allows an individual with a disability to choose one or more supporters who can help them make decisions.

Q: Who can use Form F-02377?
A: Form F-02377 can be used by individuals with disabilities who want to establish a Supported Decision-Making Agreement.

Q: What does a Supported Decision-Making Agreement do?
A: A Supported Decision-Making Agreement allows an individual with a disability to choose trusted supporters who can assist them in making decisions about their personal affairs, healthcare, legal matters, and more.

Q: Is Form F-02377 specific to Wisconsin?
A: Yes, Form F-02377 is specific to Wisconsin and is used to establish a Supported Decision-Making Agreement in the state.

Q: Is Form F-02377 legally binding?
A: Yes, once properly executed, Form F-02377 becomes a legally binding agreement between the individual with a disability and their chosen supporters.

Q: Can I revoke a Supported Decision-Making Agreement?
A: Yes, an individual with a disability can revoke a Supported Decision-Making Agreement at any time by providing written notice to their supporters.

Q: What are the benefits of a Supported Decision-Making Agreement?
A: A Supported Decision-Making Agreement allows individuals with disabilities to maintain their autonomy and independence while receiving support from trusted individuals in making important decisions.

Q: Do I need an attorney to complete Form F-02377?
A: While it is not required to have an attorney, consulting with an attorney who specializes in disability law can provide guidance and ensure that the agreement is properly executed.

ADVERTISEMENT

Form Details:

  • Released on August 1, 2018;
  • The latest edition provided by the Wisconsin Department of Health Services;
  • Easy to use and ready to print;
  • Quick to customize;
  • Compatible with most PDF-viewing applications;
  • Fill out the form in our online filing application.

Download a fillable version of Form F-02377 by clicking the link below or browse more documents and templates provided by the Wisconsin Department of Health Services.

Download Form F-02377 Supported Decision-Making Agreement - Wisconsin

4.8 of 5 (29 votes)
  • Form F-02377 Supported Decision-Making Agreement - Wisconsin

    1

  • Form F-02377 Supported Decision-Making Agreement - Wisconsin, Page 2

    2

  • Form F-02377 Supported Decision-Making Agreement - Wisconsin, Page 3

    3

  • Form F-02377 Supported Decision-Making Agreement - Wisconsin, Page 4

    4

  • Form F-02377 Supported Decision-Making Agreement - Wisconsin, Page 5

    5

  • Form F-02377 Supported Decision-Making Agreement - Wisconsin, Page 6

    6

  • Form F-02377 Supported Decision-Making Agreement - Wisconsin, Page 7

    7

  • Form F-02377 Supported Decision-Making Agreement - Wisconsin, Page 8

    8

  • Form F-02377 Supported Decision-Making Agreement - Wisconsin, Page 9

    9

  • Form F-02377 Supported Decision-Making Agreement - Wisconsin, Page 1
  • Form F-02377 Supported Decision-Making Agreement - Wisconsin, Page 2
  • Form F-02377 Supported Decision-Making Agreement - Wisconsin, Page 3
  • Form F-02377 Supported Decision-Making Agreement - Wisconsin, Page 4
  • Form F-02377 Supported Decision-Making Agreement - Wisconsin, Page 5
  • Form F-02377 Supported Decision-Making Agreement - Wisconsin, Page 6
  • Form F-02377 Supported Decision-Making Agreement - Wisconsin, Page 7
  • Form F-02377 Supported Decision-Making Agreement - Wisconsin, Page 8
  • Form F-02377 Supported Decision-Making Agreement - Wisconsin, Page 9
Prev 1 2 3 4 5 ... 9 Next
ADVERTISEMENT

Related Documents