Form PDS639B Accessibility Correction List - Existing and Historical Buildings - County of San Diego, California

Form PDS639B Accessibility Correction List - Existing and Historical Buildings - County of San Diego, California

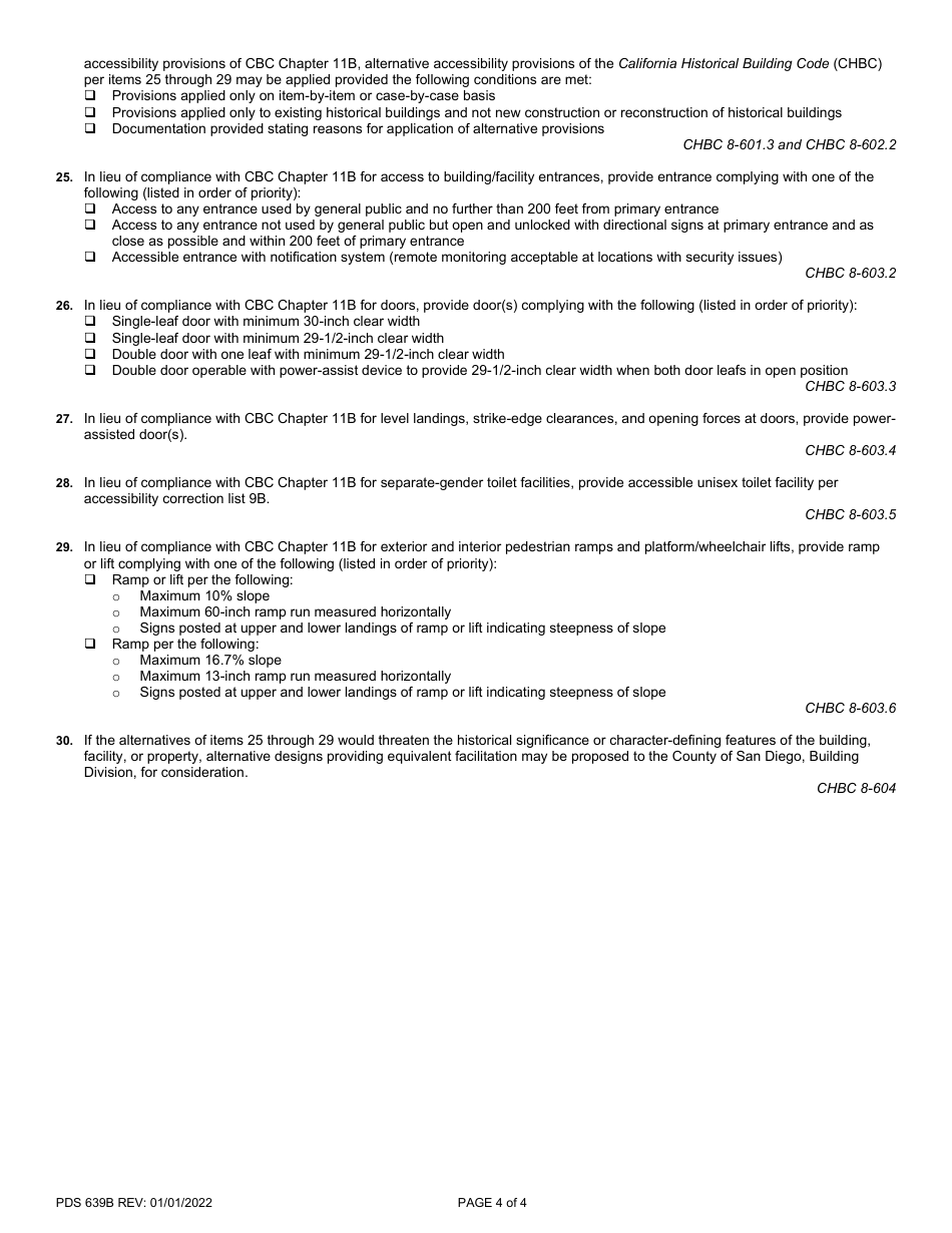
What Is Form PDS639B?

This is a legal form that was released by the Planning and Development Services - County of San Diego, California - a government authority operating within California. The form may be used strictly within County of San Diego. As of today, no separate filing guidelines for the form are provided by the issuing department.

FAQ

Q: What is Form PDS639B?
A: Form PDS639B is the Accessibility Correction List for existing and historical buildings in the County of San Diego, California.

Q: When is Form PDS639B used?
A: Form PDS639B is used to document accessibility corrections for existing and historical buildings in the County of San Diego, California.

Q: What does Form PDS639B cover?
A: Form PDS639B covers accessibility corrections for existing and historical buildings in the County of San Diego, California.

Q: Who is responsible for completing Form PDS639B?
A: The person responsible for completing Form PDS639B is the owner or operator of the existing or historical building in the County of San Diego, California.

Q: What is the purpose of Form PDS639B?
A: The purpose of Form PDS639B is to ensure compliance with accessibility requirements for existing and historical buildings in the County of San Diego, California.

Q: Are there any fees associated with Form PDS639B?
A: There may be fees associated with the processing of Form PDS639B for existing and historical buildings in the County of San Diego, California. Please refer to the County's fee schedule for more information.

Q: Is Form PDS639B applicable to new construction projects?
A: No, Form PDS639B is specifically for existing and historical buildings in the County of San Diego, California.

Q: What happens after I submit Form PDS639B?
A: After you submit Form PDS639B, it will be processed by the County of San Diego, California. You will be notified of the next steps or any additional requirements.

ADVERTISEMENT

Form Details:

  • Released on January 1, 2022;
  • The latest edition provided by the Planning and Development Services - County of San Diego, California;
  • Easy to use and ready to print;
  • Quick to customize;
  • Compatible with most PDF-viewing applications;
  • Fill out the form in our online filing application.

Download a printable version of Form PDS639B by clicking the link below or browse more documents and templates provided by the Planning and Development Services - County of San Diego, California.

Download Form PDS639B Accessibility Correction List - Existing and Historical Buildings - County of San Diego, California

4.8 of 5 (17 votes)
  • Form PDS639B Accessibility Correction List - Existing and Historical Buildings - County of San Diego, California

    1

  • Form PDS639B Accessibility Correction List - Existing and Historical Buildings - County of San Diego, California, Page 2

    2

  • Form PDS639B Accessibility Correction List - Existing and Historical Buildings - County of San Diego, California, Page 3

    3

  • Form PDS639B Accessibility Correction List - Existing and Historical Buildings - County of San Diego, California, Page 4

    4

  • Form PDS639B Accessibility Correction List - Existing and Historical Buildings - County of San Diego, California, Page 1
  • Form PDS639B Accessibility Correction List - Existing and Historical Buildings - County of San Diego, California, Page 2
  • Form PDS639B Accessibility Correction List - Existing and Historical Buildings - County of San Diego, California, Page 3
  • Form PDS639B Accessibility Correction List - Existing and Historical Buildings - County of San Diego, California, Page 4
Prev 1 2 3 4 Next
ADVERTISEMENT