Form FR-28 Application to Purchase Retirement Credit for a Pension Plan Leave of Absence - Florida Retirement System Pension Plan - Florida

Form FR-28 Application to Purchase Retirement Credit for a Pension Plan Leave of Absence - Florida Retirement System Pension Plan - Florida

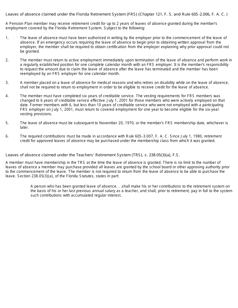
What Is Form FR-28?

This is a legal form that was released by the Florida Department of Management Services - Florida Retirement System - a government authority operating within Florida. As of today, no separate filing guidelines for the form are provided by the issuing department.

FAQ

Q: What is the Form FR-28?
A: Form FR-28 is an application to purchase retirement credit for a leave of absence in the Florida Retirement System Pension Plan.

Q: Who can use Form FR-28?
A: The Form FR-28 can be used by members of the Florida Retirement System Pension Plan who want to purchase retirement credit for a leave of absence.

Q: What is the purpose of purchasing retirement credit?
A: Purchasing retirement credit allows members of the Florida Retirement System Pension Plan to increase their total years of service and potentially increase their retirement benefits.

Q: What information is required on Form FR-28?
A: Form FR-28 requires information such as the member's personal details, leave of absence dates, payment options, and authorization to release records.

Q: Are there any deadlines for submitting Form FR-28?
A: Yes, there are deadlines for submitting Form FR-28. It is recommended to consult the official guidelines or contact the Florida Retirement System for specific deadlines.

Q: Can I purchase retirement credit for any type of leave of absence?
A: The eligibility for purchasing retirement credit for a leave of absence may vary. It is best to refer to the guidelines provided by the Florida Retirement System for specific eligibility requirements.

Q: Will purchasing retirement credit affect my pension benefits?
A: Purchasing retirement credit can potentially increase your pension benefits by increasing your years of service, but the exact impact will depend on various factors. It is advisable to consult with the Florida Retirement System for personalized information.

Q: Can I cancel my application to purchase retirement credit?
A: It may be possible to cancel your application to purchase retirement credit, but the specific cancellation policies and procedures should be reviewed with the Florida Retirement System.

ADVERTISEMENT

Form Details:

  • Released on June 1, 2004;
  • The latest edition provided by the Florida Department of Management Services - Florida Retirement System;
  • Easy to use and ready to print;
  • Quick to customize;
  • Compatible with most PDF-viewing applications;
  • Fill out the form in our online filing application.

Download a fillable version of Form FR-28 by clicking the link below or browse more documents and templates provided by the Florida Department of Management Services - Florida Retirement System.

Download Form FR-28 Application to Purchase Retirement Credit for a Pension Plan Leave of Absence - Florida Retirement System Pension Plan - Florida

4.4 of 5 (12 votes)
  • Form FR-28 Application to Purchase Retirement Credit for a Pension Plan Leave of Absence - Florida Retirement System Pension Plan - Florida

    1

  • Form FR-28 Application to Purchase Retirement Credit for a Pension Plan Leave of Absence - Florida Retirement System Pension Plan - Florida, Page 2

    2

  • Form FR-28 Application to Purchase Retirement Credit for a Pension Plan Leave of Absence - Florida Retirement System Pension Plan - Florida, Page 1
  • Form FR-28 Application to Purchase Retirement Credit for a Pension Plan Leave of Absence - Florida Retirement System Pension Plan - Florida, Page 2
Prev 1 2 Next
ADVERTISEMENT