BFA Form 785 Fanf Hardship Extension Request - New Hampshire

Notification Icon This version of the form is not currently in use and is provided for reference only. Download this version of BFA Form 785 for the current year.

BFA Form 785 Fanf Hardship Extension Request - New Hampshire

What Is BFA Form 785?

This is a legal form that was released by the New Hampshire Department of Health and Human Services - Bureau of Family Assistance - a government authority operating within New Hampshire. As of today, no separate filing guidelines for the form are provided by the issuing department.

FAQ

Q: What is the BFA Form 785 Fanf Hardship Extension Request?
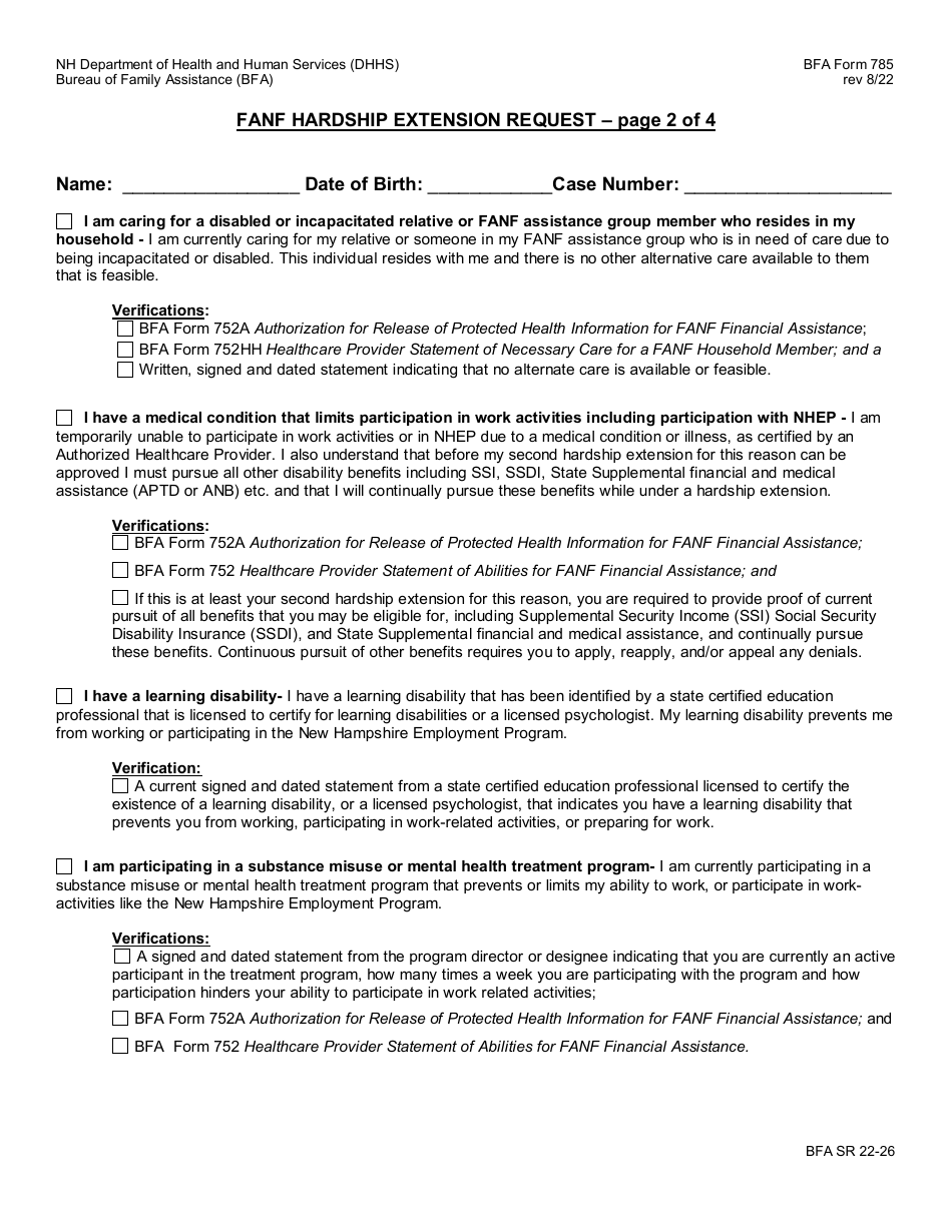
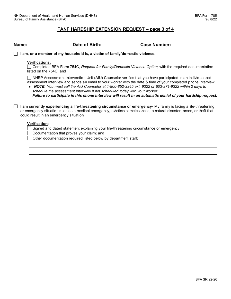
A: The BFA Form 785 Fanf Hardship Extension Request is a form used in New Hampshire to request an extension for financial aid due to hardship.

Q: Who can use the BFA Form 785 Fanf Hardship Extension Request?
A: Any New Hampshire resident who is currently receiving financial aid and experiencing a hardship can use this form.

Q: How do I request an extension using the BFA Form 785 Fanf Hardship Extension Request?
A: You need to fill out the form with your details and provide documentation of your hardship. Then, submit the completed form to the appropriate authority.

Q: What kind of hardships qualify for an extension?
A: Typically, financial hardships such as unexpected medical expenses, loss of employment, or other unforeseen circumstances may qualify for an extension.

Q: Is there a deadline to submit the BFA Form 785 Fanf Hardship Extension Request?
A: Yes, there is usually a deadline to submit the form. It is important to check with the relevant authority or agency for the deadline.

ADVERTISEMENT

Form Details:

  • Released on August 1, 2022;
  • The latest edition provided by the New Hampshire Department of Health and Human Services - Bureau of Family Assistance;
  • Easy to use and ready to print;
  • Quick to customize;
  • Compatible with most PDF-viewing applications;
  • Fill out the form in our online filing application.

Download a printable version of BFA Form 785 by clicking the link below or browse more documents and templates provided by the New Hampshire Department of Health and Human Services - Bureau of Family Assistance.

Download BFA Form 785 Fanf Hardship Extension Request - New Hampshire

4.6 of 5 (27 votes)
  • BFA Form 785 Fanf Hardship Extension Request - New Hampshire

    1

  • BFA Form 785 Fanf Hardship Extension Request - New Hampshire, Page 2

    2

  • BFA Form 785 Fanf Hardship Extension Request - New Hampshire, Page 3

    3

  • BFA Form 785 Fanf Hardship Extension Request - New Hampshire, Page 4

    4

  • BFA Form 785 Fanf Hardship Extension Request - New Hampshire, Page 1
  • BFA Form 785 Fanf Hardship Extension Request - New Hampshire, Page 2
  • BFA Form 785 Fanf Hardship Extension Request - New Hampshire, Page 3
  • BFA Form 785 Fanf Hardship Extension Request - New Hampshire, Page 4
Prev 1 2 3 4 Next
ADVERTISEMENT