Child and Adult Care Food Program Covid Waiver Request - Arkansas

Child and Adult Care Food Program Covid Waiver Request - Arkansas

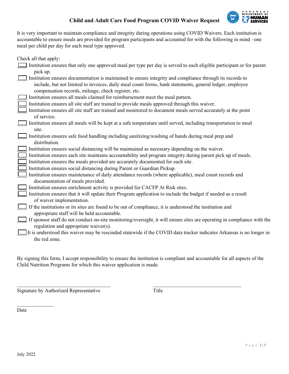
Child and Food Program Covid Waiver Request is a legal document that was released by the Arkansas Department of Human Services - a government authority operating within Arkansas.

FAQ

Q: What is the Child and Adult Care Food Program?
A: The Child and Adult Care Food Program (CACFP) is a federal program that provides healthy meals and snacks to eligible children and adults in child care centers, adult day care centers, and family day care homes.

Q: What is the Covid waiver request for the CACFP in Arkansas?
A: The Covid waiver request for the CACFP in Arkansas is a request to waive certain program requirements in response to the Covid-19 pandemic.

Q: Which requirements can be waived through the Covid waiver request?
A: Through the Covid waiver request, certain requirements related to meal patterns, meal service times, parent and caregiver notification, and monitoring can be waived.

Q: Who can submit the Covid waiver request for the CACFP in Arkansas?
A: The Covid waiver request for the CACFP in Arkansas can be submitted by eligible sponsoring organizations, including child care centers, adult day care centers, and family day care home providers.

Q: How can I submit a Covid waiver request for the CACFP in Arkansas?
A: To submit a Covid waiver request for the CACFP in Arkansas, eligible sponsoring organizations should contact the Arkansas Department of Human Services, Division of Child Care and Early Childhood Education.

Q: Is there a deadline for submitting the Covid waiver request?
A: The deadline for submitting the Covid waiver request for the CACFP in Arkansas is determined by the Arkansas Department of Human Services, Division of Child Care and Early Childhood Education.

Q: Will the Covid waiver request be automatically approved?
A: The approval of the Covid waiver request for the CACFP in Arkansas is subject to review and approval by the Arkansas Department of Human Services, Division of Child Care and Early Childhood Education.

ADVERTISEMENT

Form Details:

  • Released on July 1, 2022;
  • The latest edition currently provided by the Arkansas Department of Human Services;
  • Ready to use and print;
  • Easy to customize;
  • Compatible with most PDF-viewing applications;
  • Fill out the form in our online filing application.

Download a fillable version of the form by clicking the link below or browse more documents and templates provided by the Arkansas Department of Human Services.

Download Child and Adult Care Food Program Covid Waiver Request - Arkansas

4.8 of 5 (11 votes)
  • Child and Adult Care Food Program Covid Waiver Request - Arkansas

    1

  • Child and Adult Care Food Program Covid Waiver Request - Arkansas, Page 2

    2

  • Child and Adult Care Food Program Covid Waiver Request - Arkansas, Page 3

    3

  • Child and Adult Care Food Program Covid Waiver Request - Arkansas, Page 4

    4

  • Child and Adult Care Food Program Covid Waiver Request - Arkansas, Page 5

    5

  • Child and Adult Care Food Program Covid Waiver Request - Arkansas, Page 1
  • Child and Adult Care Food Program Covid Waiver Request - Arkansas, Page 2
  • Child and Adult Care Food Program Covid Waiver Request - Arkansas, Page 3
  • Child and Adult Care Food Program Covid Waiver Request - Arkansas, Page 4
  • Child and Adult Care Food Program Covid Waiver Request - Arkansas, Page 5
Prev 1 2 3 4 5 Next
ADVERTISEMENT

Related Documents