Form WS301 Order on Motion for Surrender and Prohibition of Weapons - Washington

Form WS301 Order on Motion for Surrender and Prohibition of Weapons - Washington

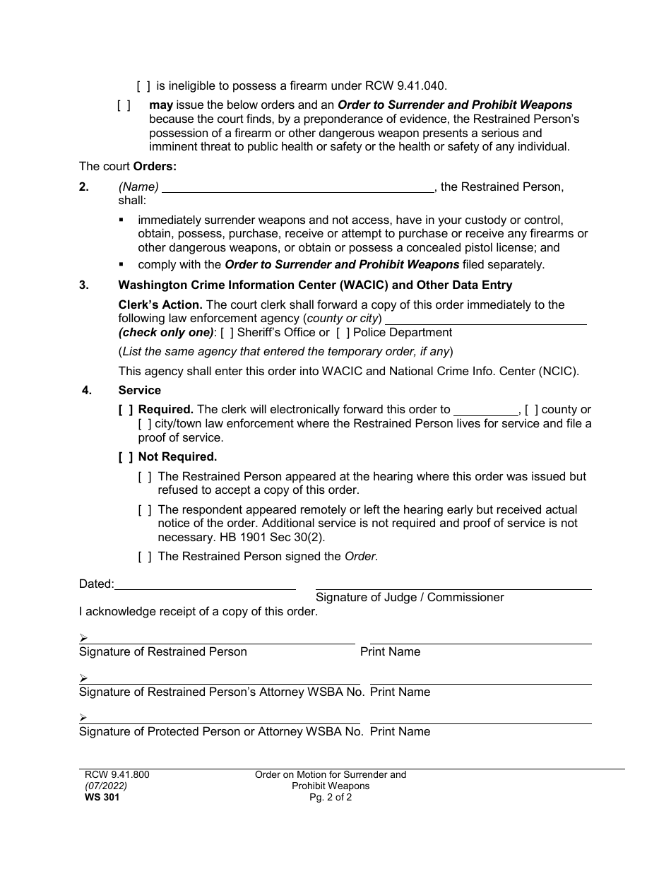
What Is Form WS301?

This is a legal form that was released by the Washington State Courts - a government authority operating within Washington. As of today, no separate filing guidelines for the form are provided by the issuing department.

FAQ

Q: What is Form WS301?
A: Form WS301 is an Order on Motion for Surrender and Prohibition of Weapons.

Q: What is the purpose of Form WS301?
A: The purpose of Form WS301 is to request the surrender and prohibition of weapons.

Q: In which state is Form WS301 used?
A: Form WS301 is used in the state of Washington.

Q: What is required to be included in Form WS301?
A: Form WS301 requires information about the person seeking the order, reasons for requesting surrender and prohibition of weapons, and details about the weapons and firearms involved.

Q: Who can request a Form WS301?
A: Any person who believes that someone poses a significant danger to themselves or others with a firearm can request a Form WS301.

Q: What happens after submitting Form WS301?
A: Once Form WS301 is submitted, a judge will review the request and determine if the surrender and prohibition of weapons is warranted.

Q: What are the consequences of a Form WS301 order?
A: If the judge grants the Form WS301 order, the person in question will be required to surrender their weapons and may be prohibited from owning or possessing firearms for a certain period of time.

Q: Can a Form WS301 order be challenged?
A: Yes, a Form WS301 order can be challenged by the person who is subject to the order.

Q: How long does a Form WS301 order last?
A: The duration of a Form WS301 order can vary, but it is typically in effect for a limited period of time, usually up to one year.

Q: Is there a fee for filing a Form WS301?
A: There may be a fee for filing a Form WS301, but the amount can vary depending on the jurisdiction.

ADVERTISEMENT

Form Details:

  • Released on July 1, 2022;
  • The latest edition provided by the Washington State Courts;
  • Easy to use and ready to print;
  • Quick to customize;
  • Compatible with most PDF-viewing applications;
  • Fill out the form in our online filing application.

Download a printable version of Form WS301 by clicking the link below or browse more documents and templates provided by the Washington State Courts.

Download Form WS301 Order on Motion for Surrender and Prohibition of Weapons - Washington

4.5 of 5 (25 votes)
  • Form WS301 Order on Motion for Surrender and Prohibition of Weapons - Washington

    1

  • Form WS301 Order on Motion for Surrender and Prohibition of Weapons - Washington, Page 2

    2

  • Form WS301 Order on Motion for Surrender and Prohibition of Weapons - Washington, Page 1
  • Form WS301 Order on Motion for Surrender and Prohibition of Weapons - Washington, Page 2
Prev 1 2 Next
ADVERTISEMENT

Related Documents