Form WPF CR84.0400 SOSA Felony Judgment and Sentence - Special Sex Offender Sentencing Alternative - Washington

Notification Icon This version of the form is not currently in use and is provided for reference only. Download this version of Form WPF CR84.0400 SOSA for the current year.

Form WPF CR84.0400 SOSA Felony Judgment and Sentence - Special Sex Offender Sentencing Alternative - Washington

What Is Form WPF CR84.0400 SOSA?

This is a legal form that was released by the Washington Superior Court - a government authority operating within Washington. As of today, no separate filing guidelines for the form are provided by the issuing department.

FAQ

Q: What is Form WPF CR84.0400 SOSA Felony Judgment and Sentence?
A: Form WPF CR84.0400 is a document used in the state of Washington for a special sex offender sentencing alternative for felony cases.

Q: What is SOSA?
A: SOSA stands for Special Sex Offender Sentencing Alternative, which is an alternative sentencing option for sex offenders in Washington.

Q: Who uses Form WPF CR84.0400?
A: The form is used by judges and courts in Washington when sentencing someone who qualifies for the Special Sex Offender Sentencing Alternative.

Q: What is the purpose of Form WPF CR84.0400?
A: The purpose of the form is to document the judgment and sentence for a felony case involving a sex offender who qualifies for the Special Sex Offender Sentencing Alternative in Washington.

ADVERTISEMENT

Form Details:

  • Released on July 1, 2022;
  • The latest edition provided by the Washington Superior Court;
  • Easy to use and ready to print;
  • Quick to customize;
  • Compatible with most PDF-viewing applications;
  • Fill out the form in our online filing application.

Download a printable version of Form WPF CR84.0400 SOSA by clicking the link below or browse more documents and templates provided by the Washington Superior Court.

Download Form WPF CR84.0400 SOSA Felony Judgment and Sentence - Special Sex Offender Sentencing Alternative - Washington

4.3 of 5 (7 votes)
  • Form WPF CR84.0400 SOSA Felony Judgment and Sentence - Special Sex Offender Sentencing Alternative - Washington

    1

  • Form WPF CR84.0400 SOSA Felony Judgment and Sentence - Special Sex Offender Sentencing Alternative - Washington, Page 2

    2

  • Form WPF CR84.0400 SOSA Felony Judgment and Sentence - Special Sex Offender Sentencing Alternative - Washington, Page 3

    3

  • Form WPF CR84.0400 SOSA Felony Judgment and Sentence - Special Sex Offender Sentencing Alternative - Washington, Page 4

    4

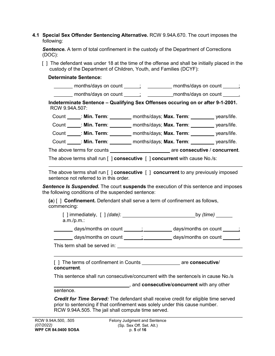
  • Form WPF CR84.0400 SOSA Felony Judgment and Sentence - Special Sex Offender Sentencing Alternative - Washington, Page 5

    5

  • Form WPF CR84.0400 SOSA Felony Judgment and Sentence - Special Sex Offender Sentencing Alternative - Washington, Page 6

    6

  • Form WPF CR84.0400 SOSA Felony Judgment and Sentence - Special Sex Offender Sentencing Alternative - Washington, Page 7

    7

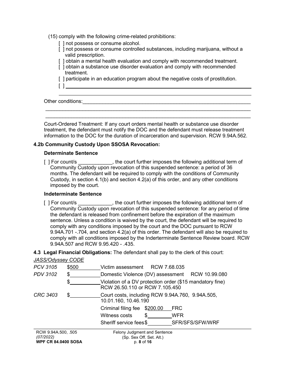
  • Form WPF CR84.0400 SOSA Felony Judgment and Sentence - Special Sex Offender Sentencing Alternative - Washington, Page 8

    8

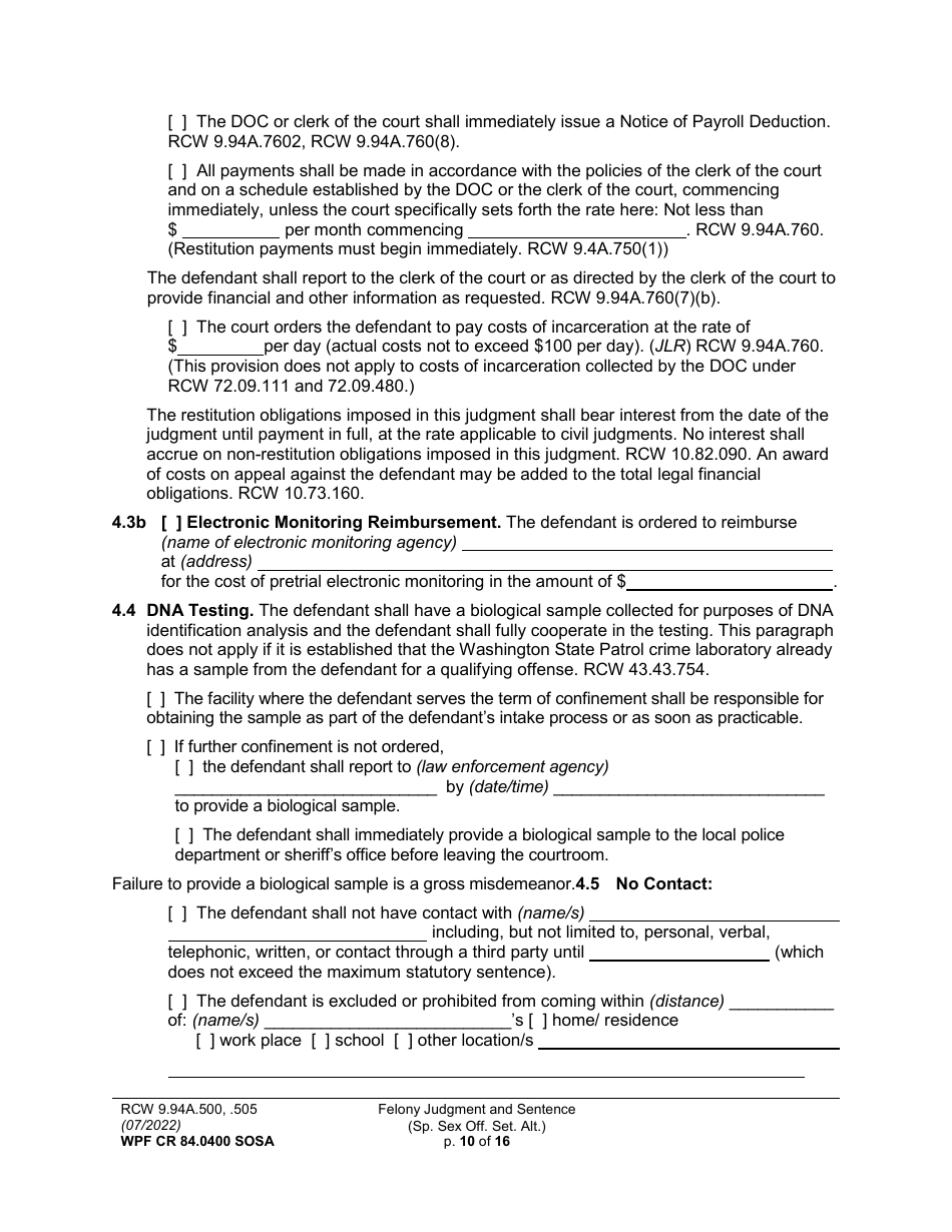
  • Form WPF CR84.0400 SOSA Felony Judgment and Sentence - Special Sex Offender Sentencing Alternative - Washington, Page 9

    9

  • Form WPF CR84.0400 SOSA Felony Judgment and Sentence - Special Sex Offender Sentencing Alternative - Washington, Page 10

    10

  • Form WPF CR84.0400 SOSA Felony Judgment and Sentence - Special Sex Offender Sentencing Alternative - Washington, Page 11

    11

  • Form WPF CR84.0400 SOSA Felony Judgment and Sentence - Special Sex Offender Sentencing Alternative - Washington, Page 12

    12

  • Form WPF CR84.0400 SOSA Felony Judgment and Sentence - Special Sex Offender Sentencing Alternative - Washington, Page 13

    13

  • Form WPF CR84.0400 SOSA Felony Judgment and Sentence - Special Sex Offender Sentencing Alternative - Washington, Page 14

    14

  • Form WPF CR84.0400 SOSA Felony Judgment and Sentence - Special Sex Offender Sentencing Alternative - Washington, Page 15

    15

  • Form WPF CR84.0400 SOSA Felony Judgment and Sentence - Special Sex Offender Sentencing Alternative - Washington, Page 16

    16

  • Form WPF CR84.0400 SOSA Felony Judgment and Sentence - Special Sex Offender Sentencing Alternative - Washington, Page 1
  • Form WPF CR84.0400 SOSA Felony Judgment and Sentence - Special Sex Offender Sentencing Alternative - Washington, Page 2
  • Form WPF CR84.0400 SOSA Felony Judgment and Sentence - Special Sex Offender Sentencing Alternative - Washington, Page 3
  • Form WPF CR84.0400 SOSA Felony Judgment and Sentence - Special Sex Offender Sentencing Alternative - Washington, Page 4
  • Form WPF CR84.0400 SOSA Felony Judgment and Sentence - Special Sex Offender Sentencing Alternative - Washington, Page 5
  • Form WPF CR84.0400 SOSA Felony Judgment and Sentence - Special Sex Offender Sentencing Alternative - Washington, Page 6
  • Form WPF CR84.0400 SOSA Felony Judgment and Sentence - Special Sex Offender Sentencing Alternative - Washington, Page 7
  • Form WPF CR84.0400 SOSA Felony Judgment and Sentence - Special Sex Offender Sentencing Alternative - Washington, Page 8
  • Form WPF CR84.0400 SOSA Felony Judgment and Sentence - Special Sex Offender Sentencing Alternative - Washington, Page 9
  • Form WPF CR84.0400 SOSA Felony Judgment and Sentence - Special Sex Offender Sentencing Alternative - Washington, Page 10
  • Form WPF CR84.0400 SOSA Felony Judgment and Sentence - Special Sex Offender Sentencing Alternative - Washington, Page 11
  • Form WPF CR84.0400 SOSA Felony Judgment and Sentence - Special Sex Offender Sentencing Alternative - Washington, Page 12
  • Form WPF CR84.0400 SOSA Felony Judgment and Sentence - Special Sex Offender Sentencing Alternative - Washington, Page 13
  • Form WPF CR84.0400 SOSA Felony Judgment and Sentence - Special Sex Offender Sentencing Alternative - Washington, Page 14
  • Form WPF CR84.0400 SOSA Felony Judgment and Sentence - Special Sex Offender Sentencing Alternative - Washington, Page 15
  • Form WPF CR84.0400 SOSA Felony Judgment and Sentence - Special Sex Offender Sentencing Alternative - Washington, Page 16
Prev 1 2 3 4 5 ... 16 Next
ADVERTISEMENT