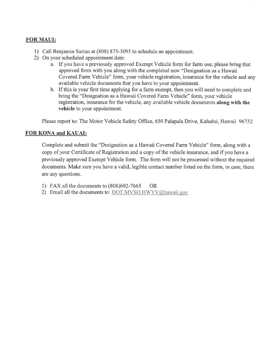
Designation as a Hawaii Covered Farm Vehicle - Hawaii

Designation as a Hawaii Covered Farm Vehicle - Hawaii

Designation as a Hawaii Covered Farm Vehicle is a legal document that was released by the Hawaii Department of Transportation - a government authority operating within Hawaii.

FAQ

Q: What is a Hawaii Covered Farm Vehicle?
A: A designated vehicle used for farming operations in Hawaii.

Q: How do I qualify for a Hawaii Covered Farm Vehicle designation?
A: You must meet certain requirements such as engaging in farming operations and providing proof of ownership or lease of agricultural land.

Q: What are the benefits of having a Hawaii Covered Farm Vehicle designation?
A: You can receive exemptions or reduced fees for vehicle registration, weight taxes, and safety inspections.

Q: Can I use a Hawaii Covered Farm Vehicle for non-farming purposes?
A: No, the vehicle should only be used for farming operations as stated in the designation.

Q: How long does the Hawaii Covered Farm Vehicle designation last?
A: The designation is valid for one year and needs to be renewed annually.

Q: What documents do I need to apply for a Hawaii Covered Farm Vehicle designation?
A: You will need to provide documents such as proof of ownership or lease of agricultural land, a completed application form, and payment of applicable fees.

Q: Can I transfer the Hawaii Covered Farm Vehicle designation to another person?
A: No, the designation is specific to the owner or lessee of the agricultural land and cannot be transferred.

ADVERTISEMENT

Form Details:

  • Released on September 15, 2022;
  • The latest edition currently provided by the Hawaii Department of Transportation;
  • Ready to use and print;
  • Easy to customize;
  • Compatible with most PDF-viewing applications;
  • Fill out the form in our online filing application.

Download a printable version of the form by clicking the link below or browse more documents and templates provided by the Hawaii Department of Transportation.

Download Designation as a Hawaii Covered Farm Vehicle - Hawaii

4.5 of 5 (19 votes)
  • Designation as a Hawaii Covered Farm Vehicle - Hawaii

    1

  • Designation as a Hawaii Covered Farm Vehicle - Hawaii, Page 2

    2

  • Designation as a Hawaii Covered Farm Vehicle - Hawaii, Page 3

    3

  • Designation as a Hawaii Covered Farm Vehicle - Hawaii, Page 4

    4

  • Designation as a Hawaii Covered Farm Vehicle - Hawaii, Page 1
  • Designation as a Hawaii Covered Farm Vehicle - Hawaii, Page 2
  • Designation as a Hawaii Covered Farm Vehicle - Hawaii, Page 3
  • Designation as a Hawaii Covered Farm Vehicle - Hawaii, Page 4
Prev 1 2 3 4 Next
ADVERTISEMENT